Optimización de la vía en placa mediante metamodelos para mejorar la sostenibilidad de la construcción ferroviaria

Acaban de publicarnos un artículo en el Journal of Construction Engineering and Management-ASCE, revista indexada en el primer cuartil del JCR. Se trata de optimizar la vía en placa mediante metamodelos para mejorar la sostenibilidad de la construcción ferroviaria. El trabajo se enmarca dentro del proyecto de investigación HYDELIFE que dirijo como investigador principal en la Universitat Politècnica de València.

Este artículo no está publicado en abierto, pero podéis encontrarlo, solicitándolo, en esta dirección: https://www.researchgate.net/publication/360243758_Slab_Track_Optimization_Using_Metamodels_to_Improve_Rail_Construction_Sustainability o bien descargarlo directamente de la página web de ASCE: https://ascelibrary.org/doi/full/10.1061/%28ASCE%29CO.1943-7862.0002288

El ferrocarril es un medio de transporte eficaz, sin embargo, la construcción y el mantenimiento de las vías férreas tienen un impacto medioambiental importante en términos de emisiones de CO2 y uso de materias primas. Esto es especialmente cierto en el caso de la vía en placa, pues necesitan grandes cantidades de hormigón. También son más caras de construir que las vías convencionales con balasto, pero requieren menos mantenimiento y presentan otras ventajas que las convierten en una buena alternativa, especialmente para las líneas de alta velocidad. Para contribuir a un ferrocarril más sostenible, este trabajo pretende optimizar el diseño de una de las tipologías de vía en placa más comunes: RHEDA 2000. El objetivo principal es reducir la cantidad de hormigón necesaria para construir la losa sin comprometer su rendimiento y durabilidad. Para ello, se utilizó un modelo basado en el método de los elementos finitos (MEF) de la vía, emparejado con un metamodelo de kriging que permite analizar múltiples opciones de espesor de la losa y resistencia del hormigón de forma puntual. Mediante kriging, se obtuvieron soluciones óptimas que se validaron a través del modelo MEF para garantizar el cumplimiento de las restricciones mecánicas y geométricas predefinidas. Partiendo de una configuración inicial con una losa de 30 cm de hormigón con una resistencia característica de 40 MPa, se llegó a una solución optimizada, consistente en una losa de 24 cm de hormigón con una resistencia de 45 MPa, que arroja una reducción de costes del 17,5%. Este proceso puede aplicarse ahora a otras tipologías de losas para obtener diseños más sostenibles.

Abstract:

Railways are an efficient transport mode, but building and maintaining railway tracks have a significant environmental impact in terms of CO2 emissions and the use of raw materials. This is particularly true for slab tracks, which require large quantities of concrete. They are also more expensive to build than conventional ballasted tracks, but require less maintenance and have other advantages that make them a good alternative, especially for high-speed lines. To contribute to more sustainable railways, this paper aims to optimize the design of one of the most common slab track typologies: RHEDA 2000. The main objective is to reduce the amount of concrete required to build the slab without compromising its performance and durability. To do so, a model based on the finite-element method (FEM) of the track was used, paired with a kriging metamodel to allow analyzing multiple options of slab thickness and concrete strength in a timely manner. By means of kriging, optimal solutions were obtained and then validated through the FEM model to ensure that predefined mechanical and geometrical constraints were met. Starting from an initial setup with a 30-cm slab made of concrete with a characteristic strength of 40 MPa, an optimized solution was reached, consisting of a 24-cm slab made of concrete with a strength of 45 MPa, which yields a cost reduction of 17.5%. This process may be now applied to other slab typologies to obtain more sustainable designs.

Keywords:

Slab track; Optimization; Latin hypercube; Kriging; Finite-element method (FEM).

Reference:

MARTÍNEZ FERNÁNDEZ, P.; VILLALBA SANCHIS, I.; INSA FRANCO, R.; YEPES, V. (2022). Slab track optimisation using metamodels to improve rail construction sustainabilityJournal of Construction Engineering and Management, 148(7):04022053. DOI:10.1061/(ASCE)CO.1943-7862.0002288

La medida de la productividad en las empresas constructoras

La productividad constituye uno de los elementos determinantes en la competitividad de cualquier empresa, y sobre todo de aquellas dedicadas a la construcción. Ello se debe al elevado margen de mejora que tiene esta actividad económica. De ello ya hemos hablado en varios artículos en este blog.

Recordemos que este concepto se define como la relación entre la producción y la cantidad de recursos consumidos en un periodo. Al tratarse de un concepto técnico, y no financiero, tanto la producción como los recursos se deben medir en unidades físicas.

Si existe un solo tipo de producto y de recurso, es sencillo calcular este ratio. Pero en una empresa nos interesa la productividad global, que es la relación entre su producción total, de todos sus productos, y el conjunto de factores empleados para conseguirla. Se hace notar que las unidades son heterogéneas, tanto en los productos como en los recursos. Para solucionar el problema, se deben valorar en unidades monetarias.

Al ser la productividad una medida técnica, ésta no se ve influenciada por la variación de precios en un periodo. Por eso es necesario que la productividad se pueda comparar de un periodo a otro, sin que las variaciones de los precios de productos y recursos interfieran en los resultados.

Para medir la productividad, por tanto, vamos a definir la terminología empleada (Pérez Gorostegui, 2021).

Pj: número de unidades físicas del producto j en el periodo 0, y pj su precio unitario en ese periodo;

Fi: cantidad del factor i en el periodo 0, en unidades físicas, y fi su coste unitario en dicho periodo;

Δ: variación experimentada por la variable en el periodo 1 respecto al periodo 0.

De esta forma se puede calcular la productividad de una empresa que utiliza m factores para realizar n productos valorando con los precios del año 0 (pi y fi):

siendo la del periodo 1:

Con estos cálculos, ya se puede definir el índice de productividad global (IPG) como:

La tasa de productividad global (TPG) medirá la proporción de variación de la productividad entre los dos periodos:

Asimismo, también puede interesar en qué proporción ha variado la producción de un periodo a otro. Mantenemos para ello los precios constantes. Con ello se define el índice de evolución de la cantidad de producción de Laspeyres:

Análogamente se podría establecer el índice de evolución de la cantidad de factores empleados:

Comparando las expresiones, es fácil deducir que:

Para el lector curioso, le dejo comprobar que si una empresa constructora elevó su producción un 15% el año pasado y tuvo que emplear un 5% menos de recursos, su productividad global subió un 21,05%.

Os dejo un vídeo donde se explica cómo se calcula la productividad global de una empresa.

En este otro vídeo se explica cómo se calcula el índice de productividad global.

Referencias:

HARRIS, F.; McCAFFER, R. (1999). Construction Management. Manual de gestión de proyecto y dirección de obra. Ed. Gustavo Gili, S.A., Barcelona, 337 pp. ISBN: 84-252-1714-8.

JORDAN, M.; BALBONTIN, E. (1986). Organización, planificación y control. Escuela de la Edificación, UNED, Madrid. ISBN: 84-86957-39-7.

PELLICER, E.; YEPES, V.; TEIXEIRA, J.C.; MOURA, H.P.; CATALÁ, J. (2014). Construction Management. Wiley Blackwell, 316 pp. ISBN: 978-1-118-53957-6.

PÉREZ GOROSTEGUI, E. (2021). Dirección de empresas. Editorial Universitaria Ramón Areces, 754 pp.

VELASCO, J. (2014). Organización de la producción. Distribuciones en planta y mejora de los métodos y los tiempos. 3ª edición, Ed. Pirámide, Madrid. ISBN: 978-84-368-3018-7.

YEPES, V. (2008). Productivity and Performance, in Pellicer, E. et al.: Construction Management. Construction Managers’ Library Leonardo da Vinci: PL/06/B/F/PP/174014. Ed. Warsaw University of Technology, pp. 87-101. ISBN: 83-89780-48-8.

YEPES, V. (2022). Gestión de costes y producción de maquinaria de construcción. Colección Manual de Referencia, serie Ingeniería Civil. Editorial Universitat Politècnica de València, 243 pp. Ref. 442. ISBN: 978-84-1396-046-3

YEPES, V. (2023). Maquinaria y procedimientos de construcción. Problemas resueltos. Colección Académica. Editorial Universitat Politècnica de València, 562 pp. Ref. 376. ISBN 978-84-1396-174-3

Licencia de Creative Commons
Esta obra está bajo una licencia de Creative Commons Reconocimiento-NoComercial-SinObraDerivada 4.0 Internacional.

Valoración del impacto social de puentes de hormigón y mixtos

Acaban de publicarnos un artículo en Sustainability, revista indexada en el JCR. Se trata de valorar distintas alternativas de puentes de hormigón o mixtos desde el punto de vista de la sostenibilidad social. El trabajo se enmarca dentro del proyecto de investigación HYDELIFE que dirijo como investigador principal en la Universitat Politècnica de València.

La definición de sostenibilidad incluye tres pilares fundamentales: económico, medioambiental y social. Los estudios sobre el impacto económico en las infraestructuras de ingeniería civil se han centrado en la reducción de costes. No está necesariamente en consonancia con la sostenibilidad económica, pues no se cosideran otros factores económicos. Además, la evaluación del pilar social se ha desarrollado poco en comparación con la económica y la medioambiental. Es esencial centrarse en la sostenibilidad social y evaluar indicadores claros que permitan a los investigadores comparar alternativas. Además, los estudios de evaluación del ciclo de vida de los puentes se han centrado hasta ahora en soluciones de hormigón. Esto ha dado lugar a una falta de análisis del impacto de las alternativas de puentes mixtos. Este estudio se realiza en dos fases. La primera parte evalúa la sostenibilidad social y medioambiental de «la cuna a la tumba» con las bases de datos SOCA v2 y ecoinvent v3.7.1. Esta evaluación se realiza sobre cuatro alternativas de puentes de hormigón y mixtos con luces entre 15 y 40 m. Para obtener los indicadores sociales y medioambientales se ha utilizado ReCiPe y el método de ponderación del impacto social. La segunda parte del estudio compara los resultados obtenidos de la evaluación social y medioambiental de las alternativas variando la tasa de reciclaje del acero. Las alternativas de puente son la losa maciza de hormigón pretensado, la losa aligerada de hormigón pretensado, el cajón-viga de hormigón pretensado y el cajón-viga mixto. Los resultados muestran que las opciones compuestas son las mejores en cuanto al impacto medioambiental, pero las soluciones de viga cajón de hormigón son mejores en cuanto al impacto social. Además, un aumento de la tasa de reciclaje del acero aumenta el impacto social y disminuye el medioambiental.

Abstract

The definition of sustainability includes three fundamental pillars: economic, environmental, and social. Studies of the economic impact on civil engineering infrastructures have been focused on cost reduction. It is not necessarily in line with economic sustainability due to the lack of other economic factors. Moreover, the social pillar assessment has been weakly developed compared to the economic and the environmental ones. It is essential to focus on the social pillar and evaluate clear indicators that allow researchers to compare alternatives. Furthermore, bridge life cycle assessment studies have been focused on concrete options. This has resulted in a lack of analysis of the impact of composite bridge alternatives. This study is conducted in two stages. The first part of the study makes a cradle-to-grave social and environmental sustainability evaluation with the SOCA v2 and ecoinvent v3.7.1 databases. This assessment is carried out on four concrete and composite bridge alternatives with span lengths between 15 and 40 m. The social impact weighting method and recipe have been used to obtain the social and environmental indicators. The second part of the study compares the results obtained from the social and environmental assessment of the concrete and the composite alternatives varying the steel recycling rate. The bridge alternatives are prestressed concrete solid slab, prestressed concrete lightened slab, prestressed concrete box-girder, and steel-concrete composite box-girder. The results show that composite options are the best for environmental impact, but the concrete box girder solutions are better for social impact. Furthermore, an increase in the steel recycling rate increases the social impact and decreases the environmental one.

Keywords

Sustainability; bridges; structures; LCA; ReCiPe; SOCA

Reference:

MARTÍNEZ-MUÑOZ, D.; MARTÍ, J.V.; YEPES, V. (2022). Social Impact Assessment Comparison of Composite and Concrete Bridge Alternatives. Sustainability, 14(9):5186. DOI:10.3390/su14095186.

Pincha aquí para descargar

Integración del proyecto estructural en BIM. Estado del arte

Acaban de publicarnos en la revista Journal of Building Engineering, que está en el primer decil del JCR, un artículo de revisión sobre la integración del proyecto estructural en BIM. El trabajo se enmarca dentro del proyecto de investigación HYDELIFE que dirijo como investigador principal en la Universitat Politècnica de València.

Podéis descargar el artículo gratuitamente al tratarse de una publicación en acceso abierto: https://www.sciencedirect.com/science/article/pii/S235271022200331X

La revolución hacia la Industria 4.0 en el sector AECO ha tomado como uno de sus puntos centrales el Building Information Modelling (BIM). Las capacidades de BIM para la automatización, la interoperabilidad y la sostenibilidad juegan un papel clave en este cambio. En este artículo se presenta una revisión bibliográfica sobre la adopción de BIM para el proyecto estructural. El objetivo de la revisión presentada es establecer el estado actual del conocimiento de la implementación de la metodología BIM en el campo del análisis estructural. Se han seleccionado trabajos relacionados con estos dos temas simultáneamente, BIM y análisis de estructuras, durante los últimos 10 años. La literatura se ha analizado desde dos enfoques diferentes. En primer lugar, se ha realizado un análisis bibliométrico, estudiando la producción sobre el tema. En segundo lugar, se han seleccionado y analizado 81 artículos representativos, estableciendo áreas temáticas a través del análisis de clúster. También se han clasificado los artículos a partir de varias categorizaciones basadas en el ciclo de vida estructural y su objetivo. Por último, se efectúa un análisis DAFO a partir de estos datos para crear un marco completo que muestre el estado de la integración del proyecto estructural en entornos BIM y los posibles desarrollos y riesgos futuros. Este conjunto de estudios muestra una tendencia hacia las herramientas de diseño y las nuevas construcciones. Mientras que la automatización y el diseño asistido por ordenador han sido una tendencia en la investigación durante varios años, se ha señalado una laguna en la investigación sobre el análisis estructural a través de BIM para los edificios existentes y del patrimonio, mostrando su capacidad para mejorar el análisis de los edificios existentes y su mantenimiento.

Highlights:

  • The state-of-art of the integration of the structural project into BIM environments has been performed.
  • A quantitative approach has been performed studying the scientific production of the topic.
  • A qualitative analysis through proof-reading 81 articles relates the design phase and the agent involved in it to weigh the received attention.
  • A cluster analysis on keywords of 81 articles reveal the trends in BIM research.
  • Discussion through SWOT system reveals the different trends, weaknesses and further opportunities in the research area.

Abstract:

The revolution towards Industry 4.0 in the AECO Industry has taken Building Information Modelling (BIM) as one of its central points. BIM abilities for automatization, interoperability and sustainability play a key role in this change. In this paper, a literature review about BIM adoption for the structural project is presented. The aim of the presented review is to clearly establish the current state of knowledge of the implementation of the BIM methodology in the field of structural analysis. Papers related to these two topics simultaneously, BIM and structure analysis, during the last 10 years have been selected. The literature has been analysed from two different approaches. First, bibliometric analysis has been performed, studying the production on the topic. Secondly, 81 representative papers have been selected and analysed, establishing thematic areas via cluster analysis. The articles have also been classified upon several categorizations based on the structural life cycle and their aim. Finally, a SWOT analysis is performed from this data to create a complete framework that shows the state of the integration of the structural project in BIM environments and possible future developments and risks. This set of studies shows a tendency towards design tools and new buildings. While automatization and computer-aided design have been a trend in the research for several years, a research gap on the structural analysis via BIM for existing and heritage buildings has been pointed out, showing its ability to improve the analysis of existing buildings and its maintenance.

Keywords: BIM; Structural project; Building performance; Literature review; Life cycle

Referencia:

FERNÁNDEZ-MORA, V.; NAVARRO, I.J.; YEPES, V. (2022). Integration of the structural project into the BIM paradigm: a literature review. Journal of Building Engineering, 53:104318. DOI:10.1016/j.jobe.2022.104318.

Pincha aquí para descargar

Primer Congreso CONSTRUC LATAM 2022

Tengo el honor de anunciar la invitación recibida por parte de los organizadores del Primer Congreso CONTRUC LATAM 2022 para impartir una conferencia el lunes 16 de mayo de 2022, a las 15:00 horas (hora de Colombia) cuyo tema es «Gestión del mantenimiento de las carreteras con presupuestos restringidos«, en la Sala 2: pavimentos. La conferencia se realizará en línea.

 

El evento lo organiza el Instituto de Especialización en Construcción y Vialidad, que es un instituto de enseñanza especializada que cuenta con la colaboración de docentes nacionales e internacionales de reconocido prestigio. Cuenta con sedes en Perú y Bolivia. Los temas de los que tratará el congreso son los de geotecnia, puentes, construcción, transporte y tránsito, obras de infraestructura y pavimentos.

El enlace a la página web del congreso con la información correspondiente se encuentra en: https://www.construclatam.com/

Plan de calidad de obra del constructor en el Código Estructural

Figura 1. Entendiendo lo que es el plan de calidad de una obra

En el ámbito de la gestión de la calidad siempre se ha llamado «Plan de Calidad» a la aplicación del sistema de calidad de una empresa a un producto determinado. En efecto, según la norma ISO 9000:2015 “Fundamentos y vocabulario”, un plan de calidad es una especificación de los procedimientos y recursos asociados a aplicar, cuándo deben aplicarse y quién tiene que aplicarlos a un objeto específico. Por tanto, una empresa constructora que disponga de un sistema de calidad, desarrollará un plan de calidad que se adapte a cada obra. Si subcontratara una parte, debería el subcontratista tener su propio plan de calidad o bien asumir el de la empresa principal.

Lo habitual es que la empresa certifique su sistema de gestión de la calidad según la norma UNE-EN ISO 9001, pero podría hacerlo bajo cualquier otro modelo. Sin embargo, esta certificación es voluntaria, salvo que el cliente la exija para un contrato determinado. En efecto, la gestión del sistema de calidad se materializa y documenta en un Manual de Calidad, en un Manual de Procedimientos (obligatorios y específicos de la actividad) y en el Plan de Calidad. Es la llamada pirámide documental del sistema de calidad.

De hecho, el Código Estructural exige al constructor en determinados casos la posesión de un sistema certificado conforme a la UNE-EN ISO 9001. Por ejemplo, en el Artículo 22.4 esta exigencia se aplica al caso de un control de ejecución a nivel intenso. También aparece en el Anejo 2 referido al índice de contribución de la estructura a la sostenibilidad. Sin embargo, se deslizan erratas en la redacción como en el Anejo 18 de bases de cálculo, donde se refiere a la norma en la versión del año 2000, cuando la versión vigente es la del 2015.

Pues bien, el Código Estructural, en vez de simplificar los términos y acogerse al vocabulario internacionalmente aceptado, utiliza conceptos similares que resultan confusos. Estamos hablando del plan de obra (cronograma) y el programa (procedimiento) de autocontrol del constructor. He tenido que utilizar los paréntesis para señalar que el plan de obra también se puede llamar cronograma, y que el programa de autocontrol también se llama procedimiento de autocontrol (véase el Artículo 19 Plan y programa de control). De estos términos confusos ya hemos hablado anteriormente en otros artículos. De hecho, no es posible diferenciar si el plan de obra y el programa de autocontrol son dos documentos diferentes o es uno solo. Parece que cada administración pública o gremio en la construcción ha querido redefinir los conceptos sobre la calidad de forma particular. Curioso es el nombre de Plan de Aseguramiento de la Calidad (P.A.C.) de la Dirección General de Carreteras (1995).

El Artículo 17 sobre criterios generales de la calidad de las estructuras indica que el «sistema de aseguramiento de la calidad aplicado al proyecto en sí, se describirá en el denominado procedimiento de autocontrol del constructor«. El Artículo 22.1 sobre control de la ejecución mediante comprobación del control de producción del constructor determina que «el programa de autocontrol contemplará las particularidades concretas de la obra, relativas a medios, procesos y actividades y se desarrollará el seguimiento de la ejecución de manera que permita a la dirección facultativa comprobar la conformidad con las especificaciones del proyecto y lo establecido en el Código. Para ello, los resultados de todas las comprobaciones realizadas serán documentados por el constructor, en los registros de autocontrol«. También añade lo siguiente: «en función del nivel de control de la ejecución, el constructor definirá un sistema de gestión de los acopios suficiente para conseguir la trazabilidad requerida de los productos y elementos que se colocan en la obra«. Además, dicho programa de autocontrol del constructor deberá ser aprobado por la dirección facultativa antes del inicio de las obras. Es decir, que lo que internacionalmente se conoce como «Plan de Calidad» se llama en el Código Estructural «Procedimiento de autocontrol«.

Por tanto, ya que no es posible diferenciar el plan de obra (cronograma) y el programa (procedimiento) de autocontrol del constructor como dos documentos separados, nos referiremos a ellos como plan de calidad de obra, elaborado por el constructor y aprobado por la dirección facultativa.

Figura 2. El control de la calidad de la obra según el Código Estructural. Elaboración propia.

Para la redacción del plan de calidad de obra se debe tener en cuenta el Plan de Control, que es un documento del proyecto. Aunque resulta implícito, es evidente que este plan de control del proyecto debe ser coherente con el resto de documentos de dicho proyecto, y en particular, con el Pliego de Prescripciones Técnicas Particulares. Es en el proyecto donde se deben recoger las condiciones del control de recepción de los materiales, las de ejecución de las unidades de obra y las condiciones de aceptación y rechazo. De esta forma, el constructor puede desarrollar dentro de su plan de calidad un Programa de Puntos Críticos de Inspección (PPI) donde se determinan los puntos de parada donde la dirección facultativa realiza el control exterior en la fecha prevista para que no se produzcan retrasos. Es por eso que también se llama cronograma al plan de obra del constructor. El Artículo 22.1 deja al constructor de documentar todas las comprobaciones realizadas en los llamados «registros de autocontrol«, que, evidentemente, se asocian de forma implícita a los PPI.

Sin embargo, el Código Estructural, para liar un poco más este tema, asocia el PPI al llamado «Programa de Control«. El objetivo es que el PPI englobe no solo el autocontrol del constructor sino que aparezcan todos los agentes implicados. Y si fuera poca la confusión, en el Artículo 19 nos dice que en el caso de obras de puentes de carretera, el programa de control puede estar incluido en el llamado «esquema director de la calidad«.

La única forma de entender este galimatías es dar una interpretación simple a lo que el Código Estructural dice. Digamos que el plan de calidad de una obra es un documento que redacta el constructor para adaptar su sistema de gestión de la calidad a lo recogido por el proyecto. Dicho documento recoge las condiciones aceptación de materiales y unidades de obra, para lo cual incluye un PPI asociado al cronograma de la obra para evitar interrupciones y el sistema de gestión de los acopios. Cuando la dirección facultativa aprueba dicho documento, entonces cambia de nombre y se llama, a partir de ese momento, Programa de Control que incluye, como hemos visto, el PPI. Como podéis ver he tenido que simplificar bajo el nombre «plan de calidad de una obra» al «plan de obra (cronograma) y el programa (procedimiento) de autocontrol» del constructor. No solo es simple, sino que utiliza la nomenclatura internacional en el ámbito de la calidad. En la Figura 3 figura la pirámide documental de un sistema de gestión de la calidad de una empresa y las definiciones particulares que emplea el Código Estructural.

Figura 3. Equivalencia entre la nomenclatura internacional sobre calidad y la empleada por el Código Estructural. Elaboración propia.

García Valcarce et al. (2004) indican que un plan de calidad de obra debería incluir las formas de trabajar, los recursos y la secuencia de actividades que tienen que realizarse. Por lo tanto, debería recoger lo siguiente:

  • Datos generales de la obra (propiedad, proyectista, dirección facultativa, contrato, etc.)
  • Documentación para la ejecución
  • Documentación del proyecto
  • Organigramas nominales de producción y calidad
  • Partes de obra subcontratadas
  • Procedimientos de ejecución
  • Medios de trabajo necesarios, propios o ajenos
  • Organización y funcionamiento del control interno (PPI y fichas de autocontrol)
  • Registros de todas las inspecciones y controles
  • No conformidades detectadas y acciones correctivas aplicadas

El resultado de aplicar el plan de calidad es una serie de documentos que sirven para demostrar la gestión realizada. A modo de ejemplo, se podrían citar los siguientes (García Valcarce et al., 2004): acta de replanteo, certificado final de obra, informes del control de calidad realizado, certificados de calidad de los materiales, resultados de los ensayos de los materiales, certificados parciales del control sobre la calidad de la ejecución, planos definitivos de lo realmente ejecutado, instrucciones de uso y mantenimiento.

Os he grabado un vídeo explicativo que espero resulte de interés.

Os dejo algún vídeo explicativo genérico sobre el plan de calidad de una obra.

Referencias:

DIRECCIÓN GENERAL DE CARRETERAS (1995). Libro de la calidad. Ministerio de Obras Públicas, Transportes y Medio Ambiente, Madrid, 132 pp.

GARCÍA VALCARCE, A.; SÁNCHEZ-OSTIZ, A.; GONZÁLEZ, P.; CONRADI, E.; LÓPEZ, J.A. (2004). Manual de dirección y organización de obras. Editorial Dossat 2000, Madrid, 362 pp.

YEPES, V. (2001). Garantía de calidad en la construcción. Tomo 1. Servicio de Publicaciones de la Universidad Politécnica de Valencia. SP.UPV-660. Depósito Legal: V-3150-2001.

YEPES, V. (2001). Garantía de calidad en la construcción. Tomo 2Servicio de Publicaciones de la Universidad Politécnica de Valencia. SP.UPV-961. Depósito Legal: V-3151-2001.

Licencia de Creative Commons
Esta obra está bajo una licencia de Creative Commons Reconocimiento-NoComercial-SinObraDerivada 4.0 Internacional.

El Programa de Puntos de Inspección en el Código Estructural

Figura 1. https://www.tuv.com/spain/es/inspecci%C3%B3n-de-cubiertas-de-naves-industriales-e-integridad-estructural.html

Uno de los documentos clave en el control de la calidad en la ejecución de las obras es el llamado Programa de Puntos de Inspección (PPI). Se trata de un formato de registro que se emplea en proyectos, obras o actividades formadas por varias tareas y donde se impliquen varias personas o empresas. Sirven para registrar que las actividades se han realizado correctamente.

Este concepto, muy empleado en el ámbito de la gestión de la calidad, tiene un tratamiento específico en el Código Estructural. Sin embargo, solo se habla del PPI de forma explícita en el Capítulo 24 dedicado a la gestión de la calidad de la fabricación y ejecución de las estructuras de acero. Ninguna referencia en artículos previos dedicados a estructuras de hormigón. Es un ejemplo más de cómo se ha elaborado este Código como yuxtaposición de las normativas previas de estructuras de hormigón y acero. En particular, el Artículo 102.1 es el que define el programa de puntos de inspección. Fuera del ámbito normativo, los comentarios del Artículo 63.2 sobre unidades de inspección incluyen qué tipo de operaciones son las que se deben recoger en el PPI. Como curiosidad, señalaremos que estos comentarios indican que “en la página web del Ministerio de Transportes, Movilidad y Agenda Urbana se incluye un enlace donde se puede acceder a unas tablas editables para la elaboración de los Programas de Puntos de Inspección”. El enlace a dichas tablas se puede encontrar aquí: https://www.mitma.gob.es/organos-colegiados/comision-permanente-del-hormigon/cph/programas_puntos_de_inspeccion.

García Valcarce et al. (2004) indican que el PPI tiene como objeto controlar la calidad de la ejecución de las obras. Según estos autores, ese control se basa en el autocontrol. Sin embargo, el actual Código Estructural va más allá. En efecto, el Artículo 102.1 indica que el PPI forma parte del programa de control (Figura 2). Por lo tanto, es un documento que se aprueba por la Dirección Facultativa y cuyas fuentes son tres: el plan de control del proyecto, el plan de obra (cronograma) del constructor y el procedimiento (programa) de autocontrol del constructor. Además, indica este artículo que el PPI reflejará el conjunto de controles, inspecciones y ensayos a realizar en la fabricación y ejecución de la estructura (de acero) por los diferentes agentes de control implicados. Es decir, no se trata únicamente de un documento de autocontrol del constructor, sino de todos los agentes implicados.

Figura 2. Relación del Programa de Puntos de Inspección con el resto de documentos de control, según el Código Estructural. Elaboración propia

Resumiendo lo más importante del PPI en relación con el Código Estructural, diremos que:

  1. Atiende a los controles en la fabricación y en la ejecución de la estructura
  2. Forma parte del programa de control aprobado por la dirección facultativa
  3. Registra los controles, inspecciones y ensayos de los diferentes agentes de control implicados

El Artículo 102.1 indica que el contenido mínimo del PPI será el siguiente:

  • las unidades de inspección, tanto en taller como en obra,
  • el tipo de inspección y comprobaciones a realizar,
  • los procedimientos o normas que regularán la verificación de la conformidad de cada inspección, así como las especificaciones de aceptación,
  • la ubicación y frecuencia o intensidad de las inspecciones,
  • la forma de documentación de los resultados,
  • la designación de la persona responsable de la realización y firma de los diferentes controles o inspecciones,
  • los puntos de espera o parada a respetar durante el proceso de control, y
  • cualquier comentario u observación aclaratoria.

Básicamente, un PPI es una tabla o lista de chequeo donde se enumeran las tareas clave del proyecto o actividad que se quiere controlar. Una vez que se ejecuta la tarea, los responsables firman para dejar constancia de que se ha realizado correctamente. Se pueden agrupar las actividades en las siguientes (García Valcarce et al., 2004):

  • Control de recepción de materiales y productos
  • Control de ejecución de las unidades de obra
  • Control de aceptación y rechazo

Existen legislaciones autonómicas donde se recoge en un Libro de Control de Calidad (Gobierno Vasco), o el Libro de Gestión de Calidad de Obra (Generalitat Valenciana), aquellos registros de aceptación y resultados de la calidad de las obras de edificación que debe gestionar la dirección facultativa.

Figura 3. Ejemplo de fichas del Libro de Control de Calidad (Gobierno Vasco)

Referencias:

GARCÍA VALCARCE, A.; SÁNCHEZ-OSTIZ, A.; GONZÁLEZ, P.; CONRADI, E.; LÓPEZ, J.A. (2004). Manual de dirección y organización de obras. Editorial Dossat 2000, Madrid, 362 pp.

YEPES, V. (2001). Garantía de calidad en la construcción. Tomo 1. Servicio de Publicaciones de la Universidad Politécnica de Valencia. SP.UPV-660. Depósito Legal: V-3150-2001.

YEPES, V. (2001). Garantía de calidad en la construcción. Tomo 2Servicio de Publicaciones de la Universidad Politécnica de Valencia. SP.UPV-961. Depósito Legal: V-3151-2001.

Licencia de Creative Commons
Esta obra está bajo una licencia de Creative Commons Reconocimiento-NoComercial-SinObraDerivada 4.0 Internacional.

La curva del olvido en la construcción

Figura 1. El olvido en la construcción

En un artículo anterior explicamos cómo afecta la curva de aprendizaje en el sector de la construcción. Ahora vamos a ver justo lo contrario, cómo se puede olvidar lo aprendido y cómo afecta esto a la productividad.

Cuando se produce una interrupción en la ejecución de una operación, inmediatamente se pierde parte del aprendizaje obtenido por las personas que realizaban dicha tarea.

Para modelizar el olvido se puede definir una curva que relaciona la cantidad aprendida con la duración de la interrupción (Figura 2). Es la llamada curva del olvido.

Figura 2. La curva del olvido

En la construcción, las interrupciones cortas se originan cuando hay división de los trabajos o cuando se atiende lo urgente, dejando de lado lo que se está haciendo. Las paralizaciones a largo plazo requieren adquirir de nuevo el conocimiento, la destreza, el ritmo, las condiciones de trabajo y los servicios de apoyo que se hayan interrumpido. Las paradas mucho más largas pueden suponer cambios de personal y transferencia de equipos o instalaciones de una obra a otra, siendo este problema mucho mayor.

En la Figura 3 se representa la curva de aprendizaje inicial que ha sufrido una interrupción al producir un número de unidades. Tras una fase de olvido, se reinicia la curva con un esfuerzo mayor. La nueva curva puede tener una tasa de aprendizaje diferente. Cuanto más tiempo de parada exista, más esfuerzo habrá que dedicar a volver a aprender.

Figura 3. Situación de aprendizaje, olvido y aprendizaje

Sea cual sea la forma de la curva de aprendizaje, existe una proporción de olvido que se inicia cuando el trabajador abandona el trabajo ya aprendido. El modelo del olvido es similar al de aprendizaje, siendo su tasa mayor, igual o menor a la del aprendizaje, dependiendo del tipo de tarea, aunque normalmente es menor. Para recordar lo aprendido, es más efectivo volver a aprender haciéndolo que si el aprendizaje es mediante información auditiva o visual que se le ofrece al trabajador.

La curva de aprendizaje resulta afectada por el olvido de las siguientes formas:

  • Que se olvide algo a un trabajador puede presentar un coste, pero no representa el olvido total.
  • El olvido provoca errores que menoscaban el rendimiento y requiere un reaprendizaje que puede ser costoso.
  • Cuantas más unidades se produzcan antes de una interrupción hace reducir la tasa de olvido.

En el sector de la construcción, el aprendizaje y el olvido son aspectos clave que inciden en la siniestralidad de las obras. A la vista de lo expuesto, no basta una formación inicial del trabajador en materia preventiva, sino que debería realizarse un proceso de recuerdo permanente para evitar el olvido de lo realmente importante.

Para evitar que el esfuerzo necesario para recordar lo olvidado sea excesivo, conviene utilizar las revisiones para recordar la totalidad de lo aprendido. Si observamos en la Figura 4, incluso con una tasa de olvido que se mantenga independientemente de los repasos, el esfuerzo por recordar lo aprendido es cada vez menor. Por tanto, la repetición sistemática en el tiempo es un buen aliado para mantener lo aprendido.

Figura 4. Efecto del repaso en el aprendizaje y en el olvido

Os dejo a continuación algunos vídeos que explican la curva del olvido. Espero que os sean de interés.

Referencias:

PELLICER, E.; YEPES, V.; TEIXEIRA, J.C.; MOURA, H.P.; CATALÁ, J. (2014). Construction Management. Wiley Blackwell, 316 pp. ISBN: 978-1-118-53957-6.

SERPELL, A. (2002). Administración de operaciones de construcción. Alfaomega, Ediciones Universidad Católica de Chile, Colombia.

YEPES, V. (1997). Equipos de movimiento de tierras y compactación. Problemas resueltos. Colección Libro Docente nº 97.439. Ed. Universitat Politècnica de València. 256 pág. Depósito Legal: V-4598-1997. ISBN: 84-7721-551-0.

YEPES, V. (2022). Gestión de costes y producción de maquinaria de construcción. Colección Manual de Referencia, serie Ingeniería Civil. Editorial Universitat Politècnica de València, 243 pp. Ref. 442. ISBN: 978-84-1396-046-3

YEPES, V. (2023). Maquinaria y procedimientos de construcción. Problemas resueltos. Colección Académica. Editorial Universitat Politècnica de València, 562 pp. Ref. 376. ISBN 978-84-1396-174-3

Licencia de Creative Commons
Esta obra está bajo una licencia de Creative Commons Reconocimiento-NoComercial-SinObraDerivada 4.0 Internacional.

Selección de maquinaria para la construcción por rentabilidad económica

Figura 1. https://pixabay.com/es/photos/emplazamiento-de-la-obra-1646662/

Uno de los problemas que tiene una empresa constructora es elegir adecuadamente la maquinaria habida cuenta de la elevada inversión que debe realizar. En un artículo anterior ya se indicaron los condicionantes a tener en cuenta en su selección.

Cuando se trata de elegir una máquina por su rentabilidad económica, hay que tener presente que se generan unos flujos de costes y de beneficios a lo largo del periodo utilización. Por tanto, ante la presencia de varias alternativas, os podemos hacer dos preguntas: ¿Qué criterio se puede utilizar para elegir la más ventajosa? ¿Está justificada la inversión de esta alternativa?

Para elegir la mejor opción de compra posible, se puede realizar un estudio que maximice la rentabilidad económica considerando o no la actualización monetaria de la inversión. Entre los métodos sin actualización económica destacamos los siguientes:

  • Rentabilidad media de la inversión: Se opta por aquella máquina que produce la tasa de rendimiento medio más alta, es decir, el mayor cociente entre la suma de los beneficios netos generados durante la vida de la inversión y el coste de adquisición. Los beneficios netos son la diferencia entre los ingresos brutos y los gastos, considerando la amortización de la inversión. Una variante a este método sería calcular la rentabilidad teniendo en cuenta la inversión media del equipo y no el valor de compra.
  • Recuperación de la inversión o periodo de retorno: Se elige aquella máquina que minimiza el tiempo necesario para que los beneficios netos generados igualen al precio de adquisición de la inversión. En este método no importa la rentabilidad de la inversión. Puede ser útil cuando los inversores estén interesados en recuperar lo antes posible los fondos aportados.

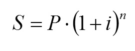
Por otra parte, el valor del dinero depende del tiempo, puesto que los intereses gravan la disponibilidad del dinero prestado. Así, dada una tasa de actualización i en tanto por uno, y n periodos de tiempo, una cantidad actual P y una futura S están relacionadas entre según la siguiente expresión:

De esta forma, las comparaciones intertemporales de las unidades monetarias deben realizarse con los ingresos o gastos actualizados. En estos cálculos, además, debería considerarse las expectativas de inflación. Sin embargo, normalmente la inflación futura conlleva una elevación de los valores monetarios, con lo que los rendimientos y costes serían los mismos. No obstante, no siempre ocurre este supuesto, por lo que se puede complicar el cálculo. Se pueden considerar los siguientes métodos con actualización monetaria:

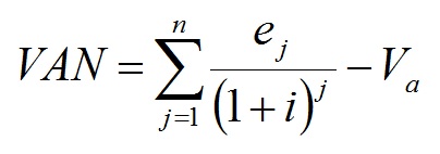
  • Valor actual neto: Se elige aquella máquina que maximiza la diferencia entre el valor actual de los ingresos netos y el coste de la inversión (VAN). Siendo ej los ingresos netos en el año j, n el número de periodos e i la tasa de interés, el valor actual de los ingresos se calcula como:

Al calcular el VAN debería incluirse el valor residual actualizado, es decir, son los beneficios de liquidación al final del periodo de inversión. Pero también podríamos hablar de una plusvalía de liquidación negativa si durante el transcurso del plazo de inversión se producen costes, como, por ejemplo, de eliminación o retirada.

Una adquisición será rentable si el VAN es positivo. Ello significa que la inversión genera más beneficios que un depósito bancario con la tasa de actualización seleccionada. Si el VAN es cero, la inversión no ofrece ninguna ventaja sobre un depósito bancario, generando únicamente como beneficio el tipo de descuento.

  • Tasa interna de rentabilidad: Se elige la máquina con mayor tasa interna de rentabilidad (TIR), definida como el valor de i que anula el VAN. Una de las ventajas es que no se necesita conocer i para su cálculo. La inversión será interesante si el TIR supera la tasa de interés del mercado. Se puede decir que el TIR es el porcentaje de beneficio o pérdida que se puede obtener de una inversión.

Algunos autores recomiendan recurrir al valor más alto del TIR como criterio de selección de equipos. La pregunta es si coincidiría entonces esta selección para una tasa dada de actualización, con la que se obtendría con el criterio del VAN. Para responder a esta pregunta, supondremos la situación de dos equipos A y B, cuyos valores actualizados netos son VANA (i) y VANB (i), como se muestra en la Figura 2.

Figura 2. Comparación de los VAN de dos equipos para distintas tasas de descuento

Si el criterio de elección es el del TIR, el equipo A será seleccionado, pues iA > iB. Al seleccionar en función del VAN, se adoptaría el equipo B para tasas de actualización comprendidas entre 0 e iM, y para mayores valores, el equipo A. Este valor de iM se denomina tasa de comparación de los equipos A y B, y en ella coinciden sus VAN.

Por tanto, se puede concluir que el criterio de la TIR es útil para comparar el valor correspondiente con la tasa de actualización, ya que, si es inferior a este valor, se debe rechazar la alternativa. Cuando se trata de elegir el equipo óptimo entre otros incompatibles con él, se debe utilizar el criterio del VAN, que nos permite determinar la mejor inversión. Mientras el VAN calcula la rentabilidad de la inversión en términos monetarios actualizados, el TIR realiza el análisis de esa rentabilidad en forma de porcentaje.

Os dejo algunos vídeos donde se explica cómo calcular el VAN y el TIR.

Referencias:

LIDÓN, J. (1998). Economía en la construcción I. Editoral de la Universidad Politécnica de Valencia, 366 pp.

PELLICER, E.; YEPES, V.; TEIXEIRA, J.C.; MOURA, H.P.; CATALÁ, J. (2014). Construction Management. Wiley Blackwell, 316 pp. ISBN: 978-1-118-53957-6.

PÉREZ GOROSTEGUI, E. (2021). Dirección de empresas. Editorial Universitaria Ramón Areces, 784 pp.

YEPES, V. (1997). Equipos de movimiento de tierras y compactación. Problemas resueltos. Colección Libro Docente nº 97.439. Ed. Universitat Politècnica de València. 253 pág. Depósito Legal: V-4598-1997. ISBN: 84-7721-551-0.

YEPES, V. (2022). Gestión de costes y producción de maquinaria de construcción. Colección Manual de Referencia, serie Ingeniería Civil. Editorial Universitat Politècnica de València, 243 pp. Ref. 442. ISBN: 978-84-1396-046-3

YEPES, V. (2023). Maquinaria y procedimientos de construcción. Problemas resueltos. Colección Académica. Editorial Universitat Politècnica de València, 562 pp. Ref. 376. ISBN 978-84-1396-174-3

Curso:

Curso de gestión de costes y producción de la maquinaria empleada en la construcción.

 

Licencia de Creative Commons
Esta obra está bajo una licencia de Creative Commons Reconocimiento-NoComercial-SinObraDerivada 4.0 Internacional.

Sistemas de remuneración por incentivos

En un artículo anterior introdujimos el concepto de incentivo en el sector de la construcción. Se trata de intentar aumentar la productividad sin menoscabo de la calidad de las tareas realizadas.

Ahora vamos a centrar nuestra atención en diversos sistemas que existen, con sus ventajas e inconvenientes. Hay que tener en cuenta que los incentivos no siempre provocan un aumento de la productividad. La realidad es que las presiones del grupo sobre las personas que tienen un mayor rendimiento a veces consiguen diluir los efectos deseados en el incremento de la producción.

Los sistemas habituales de remuneración por incentivos dividen el salario por tarea realizada en dos partes, la remuneración por el tiempo de trabajo y la prima por producción. Por tanto, por cada tarea, el salario S que recibirá un trabajador será:

donde s0 es la tarifa horaria (u.m./u.t.), t es el tiempo necesario para completar la tarea (u.t.), I es el incentivo (u.m./u.t.) y T es el tiempo estándar previsto para realizar la tarea (u.t.). Todo ello en unidades monetarias (u.m.) y unidades de tiempo (u.t.).

Según se defina el valor del incentivo I, se tendrán diferentes sistemas de remuneración. Veamos los más comunes.

Sistema de destajo

En este sistema el trabajador recibe una remuneración proporcional al tiempo estándar previsto por realizar la tarea. Como se puede ver, da lo mismo el tiempo que tarde, que recibirá siempre lo mismo. En este caso I = s0, y por tanto, el salario es el siguiente:

Se trata del sistema de incentivos más antiguo, pues el salario está directamente vinculado al trabajo que realiza. Es decir, se paga una tarifa por unidad terminada. En este caso, es muy importante vigilar la calidad del producto acabado. Por otra parte, existe el riesgo que la empresa eleve arbitrariamente los criterios de producción si descubre que los trabajadores reciben un salario excesivo.

Sistema Hasley

Aquí se reparte el valor que se ahorra al disminuir el tiempo de ejecución estándar de la tarea. Supongamos que al trabajador le corresponde un porcentaje 1/m del reparto, es decir, I=s0/m, entonces:

Por tanto, si m = 2, entonces el porcentaje que se lleva el trabajador es del 50%.

Sistema Rowan

Es un sistema donde el incentivo es proporcional a la tarifa horaria y a la relación entre el tiempo empleado y el asignado para hacer la tarea, es decir, I = s0·t/T. En este caso, el salario será:

Se puede observar que, si bien el incentivo es proporcional al ahorro de tiempo realizado, hay un límite. En efecto, conforme baja el tiempo empleado en realizar la tarea, aunque el salario crece, en el límite vale 2·s0·t, es decir, el máximo salario total teórico, imposible de alcanzar, sería aquel en el que la prima fuera igual al salario base. Por tanto, el objetivo es limitar el exceso de esfuerzo por querer obtener más prima.

Sistema York

Este es un sistema donde el incentivo es proporcional a la tarifa horaria y a la relación entre el tiempo asignado y el ahorro de tiempo conseguido, es decir, I = s0·T/(Tt). Es fácil deducir que:

En este caso se puede ver que, a mayor horas de trabajo, mayor remuneración. Esto permite compensar económicamente las horas extras fuera de la jornada laboral prevista. Desde el punto de vista del trabajador, es lo más justo. Cuanto más trabaja, más cobra. Hay que pensar si este sistema es el que conviene para aumentar la productividad.

Os dejo algunos vídeos explicativos sobre estos sistemas.

Referencias:

HARRIS, F.; McCAFFER, R. (1999). Construction Management. Manual de gestión de proyecto y dirección de obra. Ed. Gustavo Gili, S.A., Barcelona, 337 pp. ISBN: 84-252-1714-8.

JORDAN, M.; BALBONTIN, E. (1986). Organización, planificación y control. Escuela de la Edificación, UNED, Madrid. ISBN: 84-86957-39-7.

PELLICER, E.; YEPES, V.; TEIXEIRA, J.C.; MOURA, H.P.; CATALÁ, J. (2014). Construction Management. Wiley Blackwell, 316 pp. ISBN: 978-1-118-53957-6.

PÉREZ GOROSTEGUI, E. (2021). Dirección de empresas. Editorial Universitaria Ramón Areces, 784 pp.

VELASCO, J. (2014). Organización de la producción. Distribuciones en planta y mejora de los métodos y los tiempos. 3ª edición, Ed. Pirámide, Madrid. ISBN: 978-84-368-3018-7.

YEPES, V. (1997). Equipos de movimiento de tierras y compactación. Problemas resueltos. Colección Libro Docente nº 97.439. Ed. Universitat Politècnica de València. 253 pág. Depósito Legal: V-4598-1997. ISBN: 84-7721-551-0.

YEPES, V. (2022). Gestión de costes y producción de maquinaria de construcción. Colección Manual de Referencia, serie Ingeniería Civil. Editorial Universitat Politècnica de València, 243 pp. Ref. 442. ISBN: 978-84-1396-046-3

YEPES, V. (2023). Maquinaria y procedimientos de construcción. Problemas resueltos. Colección Académica. Editorial Universitat Politècnica de València, 562 pp. Ref. 376. ISBN 978-84-1396-174-3

Curso:

Curso de gestión de costes y producción de la maquinaria empleada en la construcción.

 

Licencia de Creative Commons
Esta obra está bajo una licencia de Creative Commons Reconocimiento-NoComercial-SinObraDerivada 4.0 Internacional.