
Uno de los aspectos que más influye en la calidad y durabilidad de una carretera es un drenaje adecuado. Las cunetas son uno de los elementos a los que hay que prestar atención para garantizar un drenaje adecuado. Se trata de zanjas longitudinales situadas junto a la carretera cuya función es captar, conducir y evacuar los flujos de agua superficial. Normalmente tienen sección triangular, trapezoidal o rectangular, aunque lo más habitual son las cunetas triangulares.
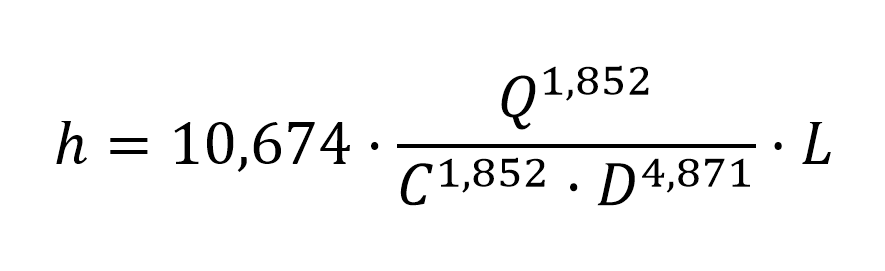
El cálculo hidráulico de las cunetas se realiza normalmente utilizando la fórmula empírica de Manning-Strickler. Sin embargo, una de las condiciones que debe cumplirse es que la velocidad media del agua para el caudal de proyecto, debe ser menor que la que produce daños en el elemento de drenaje superficial, en función de su material constitutivo. La Instrucción de Carreteras (5.2.-IC), en su texto actualizado en junio de 2018, recoge los requerimientos para el drenaje superficial en las carreteras.

A continuación os dejo un problema resuelto que espero os sea de interés. Este documento es un ejemplo de lo que se imparte en el Curso online sobre “Procedimientos de contención y control del agua subterránea en obras de Ingeniería Civil y Edificación”, que podéis encontrar aquí: https://ingeoexpert.com/cursos/curso-de-procedimientos-de-contencion-y-control-del-agua-subterranea-en-obras/ Más problemas resueltos de este tipo podéis encontrarlos en el siguiente libro:
YEPES, V. (2023). Maquinaria y procedimientos de construcción. Problemas resueltos. Colección Académica. Editorial Universitat Politècnica de València, 562 pp. Ref. 376. ISBN 978-84-1396-174-3
Referencias:
DIRECCIÓN GENERAL DE CARRETERAS (2018). Norma 5.2-IC de la Instrucción de Carreteras. Drenaje superficial. Ministerio de Fomento.
YEPES, V. (1997). Equipos de movimiento de tierras y compactación. Problemas resueltos. Colección Libro Docente nº 97.439. Ed. Universitat Politècnica de València. 253 pág.
YEPES, V. (2020). Procedimientos de construcción de cimentaciones y estructuras de contención. Colección Manual de Referencia, 2ª edición. Editorial Universitat Politècnica de València, 480 pp. Ref. 328.
YEPES, V. (2021). Procedimientos de construcción para la compactación y mejora del terreno. Colección Manual de Referencia, 1ª edición. Editorial Universitat Politècnica de València, 426 pp. Ref. 428.
YEPES, V. (2023). Maquinaria y procedimientos de construcción. Problemas resueltos. Colección Académica. Editorial Universitat Politècnica de València, 562 pp. Ref. 376. ISBN 978-84-1396-174-3

Esta obra está bajo una licencia de Creative Commons Reconocimiento-NoComercial-SinObraDerivada 4.0 Internacional.



















