Pantallas de tablestacas arriostradas con anclajes al terreno

Si se pretende realizar una excavación profunda, dejando el recinto libre de obstáculos, tendremos que realizar un arriostramiento de las pantallas de tablestacas mediante anclajes al terreno. De esta forma podremos limitar las deformaciones en la pantalla. Esto permite realizar excavaciones junto a elementos a proteger, como edificaciones, instalaciones, etc. Eso sí, siempre que se pueda realizar el anclaje correspondiente.

El método constructivo pasa por realizar la excavación por fases, de forma que se puedan efectuar los anclajes y su tesado antes de proseguir con la excavación a mayor profundidad.

Este tipo de arriostramiento permite su uso en grandes recintos con muy diversas geometrías. Además, al no presentar la excavación obstáculos, se pueden alcanzar grandes rendimientos en los vaciados dentro del recinto.

Aunque en este post no vamos a dedicarlo al cálculo de estas estructuras, sí que es importante mencionar que una parte nada despreciable de roturas de tablestacas ancladas se han debido a un incorrecto o poco cuidadoso diseño o ejecución de los dispositivos de unión entre el tirante y la pantalla.

Os dejo un vídeo donde se explica el anclaje, en este caso, de una pantalla de pilotes.

Referencias:

YEPES, V. (2020). Procedimientos de construcción de cimentaciones y estructuras de contención. Colección Manual de Referencia, 2ª edición. Editorial Universitat Politècnica de València, 480 pp. Ref. 328. ISBN: 978-84-9048-903-1.

Hinca de tablestacas por impacto

La hinca de tablestacas por impacto, percusión o golpeo es una de las técnicas más antiguas y que se emplea en aquellos casos de suelos de mayor consistencia donde la vibración no es suficiente. El martillo de golpeo sujeta a la tablestaca por su parte superior y le transmite los impactos generados por una maza alojada en su interior.

Resulta muy importante la razón entre el peso de la maza y el peso de la o las tablestacas que van a introducirse en el suelo. Es necesario un sobreretes y sufrideras para distribuir el golpe y proteger la cabeza de la tablestaca. El sombrerete o casco de protección es una pieza de acero fundido o chapones soldados que se colocan en la cabeza de la tablestaca, la sufridera es una pieza colocada en la parte superior del sombrerete que distribuye la onda de choque de la maza y la galleta o almohadilla, de pequeño espesor, asegura el buen asiento del sombrerete con la cabeza de la tablestaca.

Se pueden distinguir dos tipos fundamentales:

  • Martillos de simple efecto: el ariete cae libremente sobre la tablestaca. Sirve para cualquier terreno. Se utilizan mazas pesadas con recorridos cortos para minimizar el daño en la cabeza de la tablestaca y el ruído. Normalmente se dan unos 60 golpes por minuto.
  • Martillos de doble efecto: el ariete cae acelerado por la presión suministrada por aire/vapor o un sistema hidráulico. Son más eficientes, con hasta 120 golpes por minuto.

Según el Art. 673 del PG-3, En el caso de mazas de simple efecto, el peso de la maza propiamente dicha no será inferior a la cuarta parte (1/4) del peso de la tablestaca, si se hinca la tablestaca de una en una, o a la mitad del peso de la misma si se hinca por parejas. La energía cinética desarrollada en cada golpe, por las mazas de doble efecto, será superior a la producida, también en cada golpe, por la de simple efecto especificada, cayendo desde una altura de sesenta centímetros (60 cm).

Asismismo, las tecnologías empleadas para accionar el martillo de golpeo son:

  • Accionamiento neumático, para usarse sustentado por una grúa
  • Accionamiento diésel, acoplado a un vehículo autotransportado

Os dejo un vídeo de un martillo diésel que espero os guste:

Y este otro martillo neumático, que como veréis, es bastante pequeño y efectivo:

Referencias:

BENEGAS, M.J. (1977). Tablestacas: Sistemas de hinca y su práctica. Revista de Obras Públicas, 3141: 29-35.  (link)

YEPES, V. (2020). Procedimientos de construcción de cimentaciones y estructuras de contención. Colección Manual de Referencia, 2ª edición. Editorial Universitat Politècnica de València, 480 pp. Ref. 328. ISBN: 978-84-9048-903-1.

 

Ingeniería civil humanitaria. Cómo afrontar una emergencia: Lecciones aprendidas de Totalán

Comienzo de los trabajos realizados por la Brigada de Salvamento Minero. Fuente: Ángel García, 2019

En muy pocas ocasiones redacto artículos de opinión en mi blog. Sin embargo, en este caso, la importancia del tema me obliga a tomar posición y escribir acerca de un asunto que, creo en España, podría hacerse mucho al respecto. Se trata de cómo afrontar una emergencia difícil, donde hay vidas en juego. Voy a intentar aprovechar la experiencia de un suceso dramático para extraer algunas lecciones aprendidas que, espero, alguien tenga a bien leer y aplicar.

Todo ello viene por la conferencia impartida el pasado martes 24 de septiembre de 2019 en la Escuela de Ingeniería de Caminos de Valencia por parte de Ángel García y Mauricio Delgado. Todo el mundo conoce la noticia: durante trece días España estuvo pendiente del rescate del pequeño Julen, en el municipio malagueño de Totalán. Tanto Ángel como Mauricio, integrantes de un equipo reducido de ocho ingenieros de caminos, explicaron con mucho detalle las circunstancias técnicas y humanas que supuso esta tragedia. El salón de actos de la Escuela se abarrotó, quedando muchas personas en pie escuchando la charla. Reconozco que me emocioné profundamente al escuchar el relato, al igual que todas y cada una de las personas que acudieron al acto. Se trató, tal y como dijeron los conferenciantes, de una obra de ingeniería civil humanitaria sin precedentes. Especialmente interesante fue resaltar la importancia de los procedimientos constructivos en la resolución del problema, algo que me satisface personalmente por se catedrático de esta asignatura en la Escuela de Caminos de Valencia. El resultado fue que la profesión de ingeniería de caminos demostró su vocación de servicio público y su capacidad técnica, aumentando, si cabe, su prestigio ante la opinión pública. Sin embargo, los riesgos tomados fueron excesivos.

Se trató de un acto de coraje personal y técnico, donde en un instante determinado, de forma espontánea, se juntaron en el momento y lugar preciso, un grupo de personas que, dejando atrás cualquier tipo de consideración, de forma voluntaria, asumiendo una responsabilidad por encima de lo exigible y jugándose el prestigio profesional propio y de toda la profesión, fueron capaces de acometer un trabajo descomunal, de elevadísima complejidad técnica y con una presión brutal por parte de los medios de comunicación y de la opinión pública en general. No era para menos, se trataba de salvar contrarreloj la vida de un niño de apenas dos años. Todos, desde el primer momento asumieron el problema como propio, Julen era el hijo de cada uno de ellos y, a través de la televisión, de cada uno de nosotros.

Fotografía con Ángel García Vidal, en la Escuela de Ingeniería de Caminos de Valencia

Por otra parte, yo conocía a través de las redes sociales a Ángel García, delegado del Colegio de Ingenieros de Caminos en Málaga, antes incluso de que ocurrieran los hechos de Totalán. Persona afable, cariñosa con los suyos, muy de su tierra. Pero el martes tuve la ocasión de conocer personalmente tanto a Ángel como a Mauricio. Todo lo bueno que pensaba sobre ellos se multiplicó y agrandó con el trato directo. Es difícil encontrar a personas con un grado de humanidad, de entrega y de profesionalidad tan grande. Con el permiso de ellos, creo que se creó una amistad que va a durar eternamente. Al tiempo.

Pero justo aquí está el meollo del problema sobre el que quiero reflexionar: en este caso particular, único en el mundo por su complejidad, se tuvo la suerte de juntar en un momento determinado a un conjunto muy especial de técnicos (no solo nuestros compañeros ingenieros, sino todo el operativo que trabajó en el rescate) que, muy difícilmente se podría repetir en otro caso parecido. Que unas personas como Ángel, Mauricio y el resto del equipo dejaran todo, se pusieran en la boca del lobo, asumieran la tremenda responsabilidad de resolver un problema de esta magnitud y tuvieran el temple necesario para tomar las decisiones adecuadas en cada momento, fue una gran suerte para todos. Pero eso, justamente, no puede ser en un Estado moderno como España. Se pudo llegar a rescatar (desgraciadamente ya sin vida) el cuerpo del niño, pero las probabilidades de fracaso y de accidentes y pérdidas humanas durante el rescate fueron, desde mi punto de vista, demasiado altas.

Analicemos con mayor detalle el problema desde la distancia en el tiempo y la independencia que supone no haber participado directamente en este problema. Vemos con una frecuencia cada vez mayor en los medios de comunicación cómo ocurren hechos de gravedad extraordinaria (inundaciones, crisis alimentarias, epidemias, accidentes, incendios, terremotos, atentados, etc.). Incluso este tipo de incidentes superan la ficción: Argameddon es una película donde se acomete un problema cuya posibilidad de ocurrencia no es nula, que es el impacto de un meteorito destructivo en nuestro planeta; Chernobyl no solo ha sido una serie de éxito, sino también una realidad que pone de manifiesto la posibilidad real de accidentes de gran impacto. Para el lector inquieto, recomiendo la lectura de la teoría del cisne negro, de Nassim Taleb.

Una crisis de este tipo presenta una serie de características que alejan su resolución de los casos habituales a los que nos enfrentamos los técnicos todos los días, por difíciles que éstos sean. Se puede caracterizar este tipo de crisis, sin pretender se exhaustivos, por lo siguiente:

  • El tiempo para resolver la crisis es extremadamente limitado, pues hay vidas en juego.
  • A veces se pueden perder más vidas en la resolución del problema que en la propia crisis.
  • La crisis aparece en cualquier parte, por lo que los medios físicos y humanos para resolverla pueden no existir o tardar en llegar.
  • La resolución técnica del problema es compleja, pues no se tienen todos los datos necesarios para tomar decisiones y tampoco hay tiempo para obtenerlos.
  • Es necesaria la participación de distintos tipos de profesionales, a los que se les debería exigir una gran competencia y experiencia en su campo.
  • Se deben tomar decisiones rápidamente, estando éstas sujetas a un elevado grado de incertidumbre, asumiéndose riesgos que, en otras circunstancias serían inaceptables. Se trabaja con coeficientes de seguridad inferiores a los normales.
  • Es difícil coordinar una crisis si no existe una jerarquía clara en el mando de la operación y en la toma de decisiones.
  • Los factores psicológicos pesan sobre los responsables, sobre los que cae toda la gravedad de la toma de decisiones y sobre los que se ejerce una presión insoportable. Suelen acabar con estrés postraumático.
  • Suele existir una presión muy importante que, incluso, suele terminar en un espectáculo mediático debido al gran interés social despertado.
  • La comunicación con los medios de comunicación es clave en la crisis. Es necesaria la transparencia, la prudencia y la veracidad de lo que se comunique.

Seguramente me he dejado cosas, pero lo anterior ya supone un reto de gran magnitud. ¿Qué se debería hacer, por tanto, para aumentar la probabilidad en la resolución del éxito de una crisis? Pues de la lectura de las anteriores características de una crisis, se podrían dar algunas recomendaciones:

  • Se debe trabajar en protocolos de actuación que reduzcan drásticamente las incertidumbres en la toma de decisiones en caso de crisis.
  • El Estado debe asumir la responsabilidad, desde el primer momento, del mando, coordinación y resolución del problema. No se puede delegar en la buena voluntad de unas personas, por magníficas que sean, el peso de la responsabilidad y las consecuencias que pudieran ocurrir en el caso de accidentes, muertes, etc. Pueden existir responsabilidades civiles o penales.
  • Se debe inventariar un conjunto de máquinas especiales y medios técnicos considerados «estratégicos» en la resolución de este tipo de crisis. Deben estar geolocalizados, siempre en disposición de ser utilizados en caso de emergencia y con acuerdos previos sobre este tipo de situaciones con las empresas correspondientes. No se puede delegar el uso de maquinaria estratégica a la buena voluntad de las empresas.
  • Se debe realizar un listado de expertos en temas especiales que, si fuera necesario, fuesen requeridos y puestos a disposición inmediata de las autoridades. El trabajo de estos expertos sería, siempre, de asesoría, pero no de toma de decisiones, que corresponde a la Autoridad del Estado. Igual está mal empleada la palabra, pero se «militarizaría» a este personal mientras durase la crisis. Estaría sometido a la jerarquía de la autoridad y su actuación y responsabilidad por su actuación quedaría respaldada por el Estado.
  • Tanto los recursos técnicos como humanos necesarios podrían provenir de otros países. Se requeriría una estrategia conjunta de emergencias a nivel europeo o incluso de mayor nivel para casos muy excepcionales.
  • Se debe incluir, dentro de la Unidad Militar de Emergencias, o del cuerpo que así se considere oportuno, ingenieros y técnicos de todo tipo expertos en diversos campos, con una formación técnica muy sólida y con formación específica en la resolución de crisis.
  • Es necesario un procedimiento administrativo «de especial urgencia» que, de forma especialmente rápida, se resuelva la contratación inmediata de medios o empresas, con las cautelas necesarias, pero sin que suponga un entorpecimiento de la resolución de la crisis.
  • Resulta clave en la resolución de la crisis y en el impacto sobre la opinión pública, una comunicación directa, transparente, profesional, prudente y veraz de lo que está ocurriendo en cada momento. Esta competencia es difícil y debe aprenderse.

Pero este artículo no estaría completo si no conociéramos, de primera mano, lo que opinan tanto Ángel como Mauricio de este tema. Básicamente coincide con lo que yo he expuesto anteriormente, aunque su opinión es de primera mano, y por tanto, más valiosa que la mía. Os voy a transcribir la última transparencia de la conferencia que me ha pasado Ángel para este artículo, donde se expresan las conclusiones. Yo les llamaría «lecciones aprendidas». Es oro en estado puro.

Seguramente me he dejado muchas cosas, pero creo que algo hay que hacer. Incluso en las conversaciones mantenidas con Ángel y Mauricio se habló de implicar a las universidades en la realización de algún máster o curso de especialización sobre este tipo de materias.

Os dejo el enlace a la noticia aparecida en nuestra universidad sobre la conferencia y un vídeo donde se da la noticia. Espero que os guste.

http://www.upv.es/noticias-upv/noticia-11441-rescate-en-tot-es.html

Licencia de Creative Commons
Esta obra está bajo una licencia de Creative Commons Reconocimiento-NoComercial-SinObraDerivada 4.0 Internacional.

Sobre las unidades legales de medida

En verde, los países que han adoptado el Sistema Internacional de Unidades como prioritario o único. Los tres únicos países que en su legislación no han adoptado el SI son Birmania, Liberia y Estados Unidos. Wikipedia

Cuando estudiaba ingeniería, en la década de los 80, nos acostumbraron nuestros profesores a utilizar las unidades habituales en ese momento como las toneladas, los kg/cm2, caballo de potencia, y otras parecidas. Era un sistema que, si bien distaba del sistema anglosajón de unidades (pie, pulgada, yarda, etc.), al menos estaba basado en el sistema métrico decimal. Se trataba del sistema MKS de unidades, basado en el metro, el kilogramo y el segundo. Siendo puristas, utilizábamos mal las unidades, confundiendo los kilogramos (que miden la masa) con las unidades que deberían medir la fuerza, y lo resolvíamos diciendo que se trataba de un «kilogramo-fuerza», pero a los dos minutos, se nos olvidaba. También era habitual hablar de densidades de los materiales, cuando realmente queríamos referirnos a los pesos específicos de los mismos. Muchas horas pasamos como estudiantes de bachiller pasando unidades de un sistema a otro en las asignaturas de física.

De hecho, muchos ingenieros de cierta edad e incontables libros de texto continúan utilizando este sistema MKS, que si bien fue el precursor del actual Sistema Internacional de Unidades, conviene arrinconar de una vez por todas en todo tipo de texto o comunicación técnica. A veces es muy fácil, por ejemplo, el kilogramo-fuerza se puede sustituir fácilmente por el decaNewton (daN), eso sí, asumiendo cierto pequeño error al redondear la aceleración de la gravedad a 10 m/s2 en vez de los 9,81 m/s2. También hay que asumir el cambio de los kg/cm2 por los MPa (1 kg/cm2 ≈ 0,10 MPa = 0,10 N/mm2), en el caso de la resistencia característica del hormigón, sustituir las toneladas por los kN (1 t ≈ 10 kN), y sustituir los caballos de potencia CV por los kW (1 CV ≈ 0,735 kW). Así y todo, aún nos costará librarnos de las pulgadas cuando nos referimos, por ejemplo, a los diámetros de las tuberías. Todo se andará.

Como anécdota me comenta nuestro compañero Ángel Gil lo siguiente (ver la noticia en El País): La sonda Mars Climate fue construida por Lockheed Martin Astronautics, empresa americana que trabaja con el sistema imperial. Su sistema de navegación fue desarrollado por el Jet Propulsion Laboratory, que, como trabaja habitualmente con muchos equipos europeos, rusos, japoneses, etc, utiliza el sistema internacional. El resultado fue que la altitud sobre Marte se medía en km, pero se interpretaba como si fuesen millas. Cuando la nave pensaba que estaba abriendo el paracaídas a una altura en millas, en realidad era una altura 1,6 veces menor… Y se acabó estrellando.

En España el tema de las unidades de medida está legislado. Así el Real Decreto 2032/2009, de 30 de diciembre, establece las unidades legales de medida. Ningún estudiante, técnico o profesor debería ser ajeno a esta normativa. Por ser de gran importancia, os paso el texto íntegro para que lo uséis siempre.

Pincha aquí para descargar

También podéis descargar la traducción al español de la 9ª edición del Sistema Internacional de Unidades (SI):

Pincha aquí para descargar

Tipología de las estaciones de bombeo

https://commons.wikimedia.org/wiki/

Las estaciones de bombeo son un elemento fundamental en el conjunto de los sistemas hidráulicos. El conjunto de elementos que, junto con las bombas, sirven para dar y controlar la presión en las instalaciones así como suministrar caudal, se encuentran en la estación de bombeo. Los tipos de estaciones dependen del papel que la misma juegue en el conjunto del sistema, desde las más amplias trayendo agua potable hasta las de pozo o de instalaciones de aguas residuales. En el presente objeto se realiza una panorámica de todas ellas. Veamos la explicación de la profesora: Petra Amparo López Jiménez, de la Universitat Politècnica de València. Espero que os sea de interés.

Referencias:

YEPES, V.; MARTÍ, J.V. (2017). Máquinas, cables y grúas empleados en la construcción. Editorial de la Universitat Politècnica de València. Ref. 814. Valencia, 210 pp.

Motores térmicos de cuatro tiempos

Los cuatro tiempos del motor. Wikipedia

El motor de 4 tiempos es el que se utilizan mayoritariamente en automoción. Mediante un sistema de transformación biela-manivela, este movimiento se transforma en el giro de una manivela o cigüeñal. Puede ser un motor de combustión interna alternativo tanto de ciclo Otto como ciclo del diésel. El ciclo de funcionamiento de estos motores se completa con cuatro desplazamientos del émbolo o tiempos, es decir, con dos vueltas completas. Este motor se compone por un cilindro, una biela, un cigüeñal, al menos dos válvulas, una bujía y muchos otros componentes que hacen que todo trabaje de forma coordinada.

Aquí se detallan los diferentes tiempos (actividades realizadas durante el ciclo) y sus características.

  • 1-Primer tiempo o admisión: en el primer tiempo una mezcla de gasolina y aire va a entrar en la cámara de combustión del cilindro. El descenso del pistón aspira la mezcla en los motores de encendido provocado o el aire en motores de encendido por compresión.  Para ello el pistón baja del punto superior del cilindro al inferior, mientras que la válvula (o válvulas) de admisión se abre y deja entrar esa mezcla de gasolina y aire al interior del cilindro, para cerrarse posteriormente.
  • 2-Segundo tiempo o compresión: con el pistón en su posición más baja y la cámara de combustión llena de gasolina y aire, la válvula de admisión se cierra y deja la cámara cerrada herméticamente. La inercia del cigüeñal al que está unida la biela del pistón hará que el pistón vuelva a subir y comprima así la mezcla.
  • 3-Tercer tiempo o explosión/expansión: al llegar al final de la carrera superior el gas ha alcanzado la presión máxima. En los motores de encendido provocado o de ciclo Otto salta la chispa en la bujía, provocando la inflamación de la mezcla, mientras que en los motores diésel, se inyecta a través del inyector el combustible muy pulverizado, que se autoinflama por la presión y temperatura existentes en el interior del cilindro. En ambos casos, una vez iniciada la combustión, esta progresa rápidamente incrementando la temperatura y la presión en el interior del cilindro y expandiendo los gases que empujan el pistón. Esta es la única fase en la que se obtiene trabajo. En este tiempo el cigüeñal gira 180º mientras que el árbol de levas gira 90º respectivamente, ambas válvulas se encuentran cerradas y su carrera es descendente.
  • 4 -Cuarto tiempo o escape: en esta fase el pistón empuja, en su movimiento ascendente, los gases de la combustión que salen a través de la válvula de escape que permanece abierta. Al llegar al punto máximo de carrera superior, se cierra la válvula de escape y se abre la de admisión, reiniciándose el ciclo. En este tiempo el cigüeñal gira 180º y el árbol de levas gira 90º.

En el siguiente vídeo de la universidad de La Laguna se ofrece una descripción básica de las máquinas térmicas en referencia a los motores de combustión interna de cuatro tiempos.

Os dejo a continuación algunos vídeos más sobre este tipo de motores.

https://www.youtube.com/watch?v=UKNLArrUJCg

Referencias:

YEPES, V.; MARTÍ, J.V. (2017). Máquinas, cables y grúas empleados en la construcción. Editorial de la Universitat Politècnica de València. Ref. 814. Valencia, 210 pp.

 

 

Izado defectuoso de pasarela metálica

Las operaciones de izado de grandes cargas son, en ocasiones, los procedimientos más complicados en determinadas construcciones. En el vídeo que os paso a continuación podemos ver cómo una pasarela metálica de 40 toneladas, valorada en más de un millón de euros, se ha deformado por haber cambiado el sistema de izado previsto en proyecto. En efecto, la estructura se iba a levantar con una única grúa de 500 toneladas, pero en el último momento, se cambió el procedimiento de izado a dos grúas más pequeñas, una de 350 toneladas y otra telescópica. Lo que ocurrió es que la estructura levantada en tándem introdujo esfuerzos no previstos en el proyecto y provocó la deformación del puente. Por cierto, el vídeo se grabó el 21 de febrero de 2013 en Omagh, Irlanda del Norte. Espero que os guste. Agradezco a Enrique Montalar el enlace.

Voladura en una cantera de áridos

http://mti-minas-valencia.blogspot.com.es/

A continuación os dejo un vídeo de Georock S.L.  donde se explica la voladura en una cantera de áridos en San Fulgencio (Alicante). Una vez visionado, será fácil responder a las siguientes preguntas:

          1. ¿Qué tipo de material se extrae en esta cantera?
          2. ¿Qué altura de banco tiene esta cantera?
          3. ¿Qué dos tipos de explosivo se usan?
          4. ¿Qué separación existe entre los taladros?, ¿qué diámetro tienen?
          5. ¿Qué consumo de explosivo se necesita?
          6. ¿Cuál es la velocidad de detonación en este caso?

En este otro vídeo podéis ver el efecto de los microrretardos:

Referencias:

MARTÍ, J.V.; YEPES, V.; GONZÁLEZ, F.; ALCALÁ, J. (2012). Técnicas de voladuras y excavación en túneles. Apuntes de la Universitat Politècnica de València. Ref. 530, 165 pp.

Evaluación aproximada de caudales de bombeo en excavación de solares

Figura 1. Vaciado de solar en recinto apantallado bajo nivel freático. https://www.obrasurbanas.es/pantallas-tablestacas-excavaciones/

Resulta muy habitual en edificación excavar sótanos que se encuentran bajo nivel freático. Esta excavación suele realizarse al abrigo de un recinto de muros o pantallas y se hace necesario drenar el agua que queda al fondo de la excavación. Para un estudio en detalle del flujo hidráulico en un medio poroso deberíamos acudir a la ecuación de Laplace y proceder a la integración de este tipo de ecuación en derivadas parciales atendiendo a las condiciones de contorno. Sin embargo, vamos a dar aquí una solución aproximada que puede servir en obra para efectuar una previsión de las bombas de achique necesarias o tomar decisiones tales como prolongar las pantallas lo suficiente como para empotrarlas en un sustrato impermeable. Como siempre, cada caso es particular y requiere de un estudio económico para ver la mejor opción.

Vamos a suponer que se va a excavar un solar, de dimensiones «a·b» en presencia de nivel freático, en un terreno poroso con un coeficiente de permeabilidad «k«.  Las pantallas se encuentran empotradas una longitud «L«, el fondo de excavación se encuentra a una profundidad «H» respecto al nivel freático y existe un estrato impermeable a una distancia «h‘» respecto a la pantalla (ver Figura 2). Se pretende calcular el caudal de achique de forma que el agua no se encharque en el fondo de la excavación. Se supone que se ha realizado una evaluación previa para evitar el sifonamiento, el levantamiento de la excavación y el cálculo mecánico de las pantallas, entre otros aspectos.

Figura 2. Flujo de agua bajo un recinto apantallado

Para resolver el problema emplearemos la Ley de Darcy, que establece que la velocidad de un fluido en medio poroso es proporcional al gradiente hidráulico. Multiplicando esa velocidad por la sección que atraviesa el flujo, tendremos la evaluación del caudal según la siguiente expresión, donde «Q» es el caudal, «k» es el coeficiente de permeabilidad», «i» es el gradiente hidráulico y «S» es la sección atravesada por el flujo.

En el problema que nos ocupa, el caudal puede atravesar dos secciones, una lateral determinada por el estrato impermeable y el fondo de la pantalla «S1», y la formada por el fondo de la excavación del solar «S2». Calculemos en ambos casos el caudal. Es posible realizar una estimación aproximada considerando el flujo del agua próximo a la pantalla, puesto que es la línea de flujo más corta y la que supone un mayor gradiente crítico. En este caso, i=H/(H+2L).

Para la sección «S1″, el caudal «Q1″ tendrá el siguiente valor:

 

Análogamente, para la sección»S2″, el caudal «Q2″ tendrá el siguiente valor:

El caudal estimado será el menor de ambas dos estimaciones: Q=min(Q1, Q2).

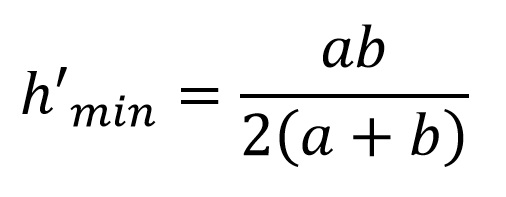
Igualando ambos caudales se puede determinar la distancia del sustrato impermeable al fondo de la pantalla a partir de la cual dicho sustrato no influye en la estimación del caudal:

En el caso de un solar cuadrado, si el sustrato impermeable se encuentra a una distancia superior a la cuarta parte del lado del solar, todo el flujo pasa por el fondo de la excavación.

De todas formas, de las expresiones anteriores se deduce que el caudal máximo que puede entrar en la excavación se da cuando el sustrato impermeable se encuentra a una distancia del fondo de la pantalla superior al cociente entre el área y el perímetro del recinto. Si la capa impermeable se encuentra más cerca, el caudal baja proporcionalmente hasta anularse teóricamente cuando llega a tocar a la pantalla.

Os dejo un vídeo explicativo que espero os sea útil.

Referencias:

PÉREZ VALCÁRCEL, J.B. (2004). Excavaciones urbanas y estructuras de contención. Ediciones Cat. Colegio Oficial de Arquitectos de Galicia.

YEPES, V. (2020). Procedimientos de construcción de cimentaciones y estructuras de contención. Colección Manual de Referencia, 2ª edición. Editorial Universitat Politècnica de València, 480 pp. Ref. 328. ISBN: 978-84-9048-903-1.

Curso:

Curso de procedimientos de contención y control del agua subterránea en obras de Ingeniería Civil y Edificación.

Licencia de Creative Commons
Esta obra está bajo una licencia de Creative Commons Reconocimiento-NoComercial-SinObraDerivada 4.0 Internacional.

El efecto Renard, o por qué un suelo parece que entra en ebullición: Sifonamiento

Figura 1. Arenas movedizas. https://churbuck.com/category/clamming/page/2/

Cuando existe un flujo ascendente de agua en un terreno, la corriente circula en sentido contrario al peso del terreno. Este empuje puede ser tan algo que supere al peso del terreno, con lo cual tenemos la impresión que el terreno se ha licuado y se comporta como un líquido en ebullición. Este efecto, muy estudiado en cualquier libro de geotecnia, tiene lugar cuando las tensiones efectivas se anulan. Se produce el fenómeno del sifonamiento o licuación, también llamado «efecto Renard». En este caso, una arena, por ejemplo, pierde su consistencia y parece que entre en ebullición. Esto se debe a que un suelo sin cohesión pierde completamente su resistencia al corte y pasa a comportarse como un fluido.

Resulta sencillo demostrar que este fenómeno ocurre cuando se alcanza un gradiente crítico, cuyo valor es el cociente entre el peso específico sumergido del suelo y el peso específico del agua. Este valor se aproxima en muchos casos a la unidad. Cualquier objeto que se sitúe sobre un terreno con licuación que tenga un peso específico superior al del la mezcla fluida de terreno y agua, se hundirá; esto es especialmente importante si tenemos maquinaria dentro de la excavación o existen cimentación que se apoye en esa zona. Se trata del conocido fenómeno de las arenas movedizas.

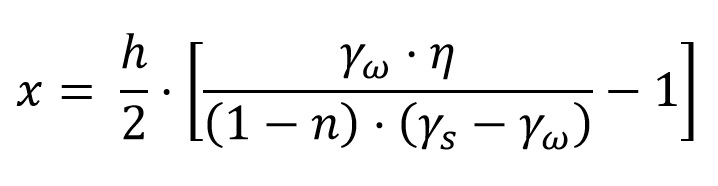
Este problema es importante cuando tenemos que excavar bajo nivel freático una profundidad «h» (ver Figura 2). Una forma de solucionar evitar el sifonamiento consiste en utilizar tablestacas o ataguías que tengan una longitud de empotramiento «x» suficiente. En este caso, la línea de filtración más corta del agua tiene una longitud igual a h+2x.

Figura 2. Longitud de empotramiento para evitar el sifonamiento

Supongamos que nos dan como datos el peso específico de las partículas sólidas de un suelo «γs » y su porosidad «n«. El peso específico del agua es  «γw«. Vamos a considerar un coeficiente de seguridad  «η«. Como el gradiente es h/(h+2x), se puede comparar con el gradiente crítico dividido por su coeficiente de seguridad. De este modo, es fácil demostrar que la longitud de empotramiento es:

En la Figura 3 se representa la evolución del empotramiento en función de la profundidad de la excavación bajo nivel freático y de la porosidad del suelo. Se ha supuesto γs = 2,65 t/m3   y un coeficiente de seguridad η = 3. Es fácil comprobar la relación lineal entre el empotramiento y la altura del nivel freático sobre la excavación. Además, cuanto más poros presenta el terreno, más empotramiento es necesario.

Figura 3. Profundidad de empotramiento de una tablestaca para evitar el sifonamiento

Respecto al coeficiente de seguridad frente al sifonamiento, el Código Técnico de la Edificación (CTE), en su Documento Básico SE-C Cimientos, se indica que, en el caso de las pantallas, el coeficiente de seguridad será η = 2.

Nota muy importante: una cosa es la profundidad mínima de empotramiento para evitar el sifonamiento y otra bien diferente es calcular el empotramiento necesario de una tablestaca para soportar los esfuerzos de empuje a los que está sometido. Por tanto, el empotramiento real será el mayor de los dos valores. Se recomienda siempre efectuar con detalle los cálculos geotécnicos y estructurales necesarios. Y sobre todo, utilizar el sentido común.

Referencias:

  • DAS, B. (2005). Fundamental of Geotechnical Engineering2nd ed, Technomic Publishing Co.
  • GONZÁLEZ DE VALLEJO, L.I. et al. (2004). Ingeniería Geológica. Pearson, Prentice Hall, Madrid.
  • YEPES, V. (2020). Procedimientos de construcción de cimentaciones y estructuras de contención. Colección Manual de Referencia, 2ª edición. Editorial Universitat Politècnica de València, 480 pp. Ref. 328. ISBN: 978-84-9048-903-1.

Cursos:

Curso de Procedimientos de Construcción de cimentaciones y estructuras de contención en obra civil y edificación.

Licencia de Creative Commons
Esta obra está bajo una licencia de Creative Commons Reconocimiento-NoComercial-SinObraDerivada 4.0 Internacional.