Rendimiento en una perforación rotativa con triconos

Tricono con insertos. https://www.talleresegovia.com

En un artículo anterior se describieron la perforación rotativa de rocas y la perforación con triconosEl principio utilizado por las perforadoras rotativas consiste en aplicar energía a la roca, haciendo rotar un útil de corte o destroza, conjuntamente con la acción de una gran fuerza de empuje. Actualmente, se emplean con frecuencia los trépanos triturantes o triconos para lograr un alto rendimiento, alcanzando entre 60 y 100 m/turno y profundidades de hasta 200 m. Se usa en ingeniería civil con diámetros entre 100 y 300 mm. Sin embargo, en la industria petrolera, se han superado estos límites, alcanzando hasta 4500 metros de profundidad en España.

En este artículo, vamos a presentar un caso real resuelto de rendimientos y plazos en una perforación rotativa con triconos sobre una roca. Como podréis ver, muchas de las formulaciones utilizadas son empíricas y, en este sector, se sigue empleando con frecuencia el sistema de unidades anglosajón.

 

Pincha aquí para descargar

Referencias:

INSTITUTO TECNOLÓGICO Y GEOMINERO DE ESPAÑA (1994). Manual de perforación y voladura de rocas. Serie: Tecnología y Seguridad Minera. Segunda edición, Madrid, 541 pp.

LÓPEZ JIMENO, C. (Ed.) (2000). Manual de sondeos. E.T.S. de Ingenieros de Minas de Madrid, 699 pp.

MARTÍ, J.V.; GONZÁLEZ, F.; YEPES, V. (2005). Temas de procedimientos de construcción. Extracción y tratamiento de áridos. Editorial de la Universidad Politécnica de Valencia. Ref. 2005.165. Valencia, 74 pp.

YEPES, V. (2023). Maquinaria y procedimientos de construcción. Problemas resueltos. Colección Académica. Editorial Universitat Politècnica de València, 562 pp. Ref. 376. ISBN 978-84-1396-174-3

Licencia de Creative Commons
Esta obra está bajo una licencia de Creative Commons Reconocimiento-NoComercial-SinObraDerivada 4.0 Internacional.

Especialista en tecnologías sin zanja

Os anuncio a continuación la VI edición anual del Curso de Postgrado: ESPECIALISTA EN TECNOLOGÍAS SIN ZANJA, que se desarrolla del 26 de octubre al 11 de noviembre de 2020 en la modalidad online, a través de la plataforma Microsoft Teams. Se trata un curso de 46 horas organizado por la Asociación Ibérica de Tecnología SIN Zanja (IbSTT).

Os adjunto el programa actualizado y el enlace para que puedan cumplimentar el boletín de inscripción, y la reserva de plaza: https://forms.gle/FyYRn9D8XmuENyj4A. Por cierto, podéis solicitar un «código de descuento de empresa asociada» del 10% si sois alumno mío o bien contacto, por ser miembro colaborador (dáis mi nombre al inscribiros y os harán el descuento).

También os paso, gratuitamente, la ponencia que imparto dentro del curso, que he colgado en Youtube, por si os resulta de interés. Se trata del Módulo 7-1: Aspectos generales: Peforación Horizontal Dirigida PHD.

Pincha aquí para descargar

Procedimientos constructivos de pozos profundos para drenaje de excavaciones

Figura. commons.wikimedia.org (U.S. Navy photo by Mass Communication Specialist Seaman Ernesto Hernandez Fonte/Released)

Las tecnologías de perforación se utilizan en la construcción y la minería para una amplia gama de operaciones: sondeos de reconocimiento, ejecución de pilotes de desplazamiento, barrenado para explosivos y ejecución de pozos. Centrándose en la ejecución de pozos profundos cuya finalidad sea el control del nivel freático de una excavación, las técnicas empleadas son muy variadas.

La elección de la técnica más adecuada de perforación dependerá de la dureza y abrasividad del terreno, de la estabilidad de la perforación, del sistema de extracción de los residuos y de la posible extracción de testigos. No existe una correspondencia biunívoca entre una única técnica de perforación eficiente en todos los suelos y terrenos.

Normalmente, la forma tradicional de perforar un pozo en una zona determinada suele ser la de mayor eficacia, pues la experiencia suele decantar el mejor procedimiento. Sin embargo, conviene estar atento a las innovaciones y desarrollo de nuevas tecnologías que pueden suponer importantes ahorros en casos determinados.

A continuación se resumen brevemente alguna de las técnicas empleadas en la perforación de pozos empleados en el control de agua en obras de ingeniería, remitiendo al lector a otros artículos publicado en este blog relacionados para ampliar información al respecto.

La mejor opción pasa por entender las características litológicas del terreno y las limitaciones de cada método de perforación (diámetro y profundidad de la perforación). A todo caso, siempre se debe distinguir el diámetro necesario de la electrobomba sumergible a colocar en el pozo, el diámetro de la tubería de revestimiento y el diámetro de la perforación.

 

  • Perforación con inyección: Se hinca una tubería de revestimiento inyectando agua a presión a través de una segunda tubería interior. Este sistema es el utilizado en las lanzas de drenaje (wellpoint). El agua recircula los residuos al exterior, dejando la tubería limpia.

 

  • Perforación rotativa con balde o cazo (bucket auger boring): Se perfora con un cazo cilíndrico, a una profundidad máxima de unos 30 m, en terrenos sedimentarios no consolidados o poco cementados. Se puede perforar a un diámetro mínimo de 450 mm, aunque puede llegar a 900 mm, aunque los pozos de drenaje requieren menores dimensiones.

 

  • Perforación a rotación: El arranque de las partículas se realiza mediante el giro de una herramienta de corte que se impulsa por un varillaje. Se utilizan fluidos de perforación para extraer el residuo generado por el tricono o trialeta situado en la punta de la sarta de perforación. Es una técnica efectiva en diámetros de hasta 450 mm. La perforación directa o convencional hace circular al fluido de perforación por el interior del varillaje, retornando a la superficie, junto con el detritus, por el anillo formado por el varillaje y la perforación. En la circulación inversa el fluido entra por el espacio anular y se eleva a la superficie por el interior del varillaje. En el caso de circulación inversa el diámetro habitual es de 600 mm o mayor. Estas técnicas de rotación no suelen utilizarse habitualmente para la ejecución de pozos para el control de aguas subterráneas por su coste. Además, hay que tener presente que los fluidos de perforación, especialmente en el caso de la circulación directa, reducen la permeabilidad en suelos ya de por sí poco permeables.

 

  • Perforación a percusión con cable: Se basa en el golpeteo con una pesada herramienta de corte (trépano) que se eleva con un cable y que cae por gravedad, fragmentando el suelo. Frente a otros sistemas de perforación, es más lento que otros métodos alternativos, pero sus diámetros de perforación habituales de 400 a 700 mm son una ventaja, en una amplia variedad de suelos. No utiliza lodos de perforación para la estabilización de los suelos granulares perforados, empleándose, si fuera necesario, tubos para la contención del suelo (es el caso de formaciones no coherentes, granulares o arcillosas). No suele ser utilizado para pozos de drenaje, excepto si se reutiliza el sondeo realizado por un ensayo de bombeo previo, que requiere mayores diámetros. Se utiliza el método principalmente en rocas compactas, friables y de dureza media, así como en formaciones fisuradas, donde las pérdidas de lodos de perforación sea excesiva. Como inconvenientes cabe destacar la interrupción de la perforación para extraer el detritus por media de cucharas de limpieza, así como cierta dificultad de avance en suelos blandos, libres de piedras o rocas.

 

  • Perforación a rotopercusión: Es una técnica que combina la rotación con la percusión, empleándose en rocas duras y semiduras, donde la rotación no es económica. El principio de perforación de estos equipos se basa en el impacto de una pieza de acero llamada pistón, sobre un útil, que a su vez transmite la energía al fondo del barreno, por medio de un elemento final denominado boca o bit. Utiliza un martillo de fondo, accionado por la inyección de aire comprimido. El aire asciende por el espacio anular del sondeo arrastrando el detritus, al mismo tiempo que lubrifica la perforación. Junto al aire comprimido, se emplea espumante y agua para ayudar a la limpieza del sondeo. Aquí también existe la circulación directa e inversa.

 

  • Perforación con recubrimiento: Se trata la perforación dúplex o dual consistente en la entubación del taladro al mismo tiempo que se avanza en la perforación. Se basa en los mismos principios que la perforación a rotación en circulación directa, pero utilizando como fluido de perforación el aire y, en menor medida, el agua. Los dos métodos más extendidos de perforación con recubrimiento son los conocidos como método OD (overburden drilling) y método ODEX (overburden drilling with the eccentric). La técnica es rentable hasta diámetros de 300 mm y 50 m de profundidad, suficiente para una tubería de 225 mm y una bomba sumergible de 30 l/s. La experiencia indica que bastan perforaciones de 250 mm de diámetro, tuberías de 140 mm y bombas sumergibles de 7 l/s. Por debajo de 5 l/s se conocen como «pozos de baja capacidad» (low capacity wells).

 

  • Perforación sónica: Se trata de una tecnología reciente donde un cabezal hidráulico combina la presión descendente con impactos vibratorios de alta frecuencia (50-180 hz). Utiliza doble tubería, sin necesidad de fluidos de perforación, siendo una técnica poco invasiva en el medio ambiente. Su avance es rápido, pero sus diámetros actuales se limitan a 120 mm, lo cual es poco competitivo para su uso en pozos de drenaje. Sin embargo, no funciona óptimamente en suelos muy duros.

Destacamos, por último, la tendencia de los fabricantes de equipos de perforación para pozos de disponer de equipos multisistema con compresores, varillaje liso, varillaje de doble pared, etc., de forma que se pueden realizar perforaciones mixtas tanto a rotación a circulación inversa como a rotopercusión con un mismo equipo.

Os dejo vídeos explicativos sobre algunas de estas técnicas. Espero que os sean de interés.

Os dejo un vídeo donde se observa la ejecución de un pozo de drenaje.

Referencias:

  • POWERS, J.P. (1992). Construction dewatering: New methods and applications. Ed. Wiley et al., New York.
  • PREENE, M.; ROBERTS, T.O.L.; POWRIE, W. (2016). Groundwater Control – Design and Practice, 2nd Edition. Construction Industry Research and Information Association, CIRIA Report C750, London.
  • TOMLINSON, M.J. (1982). Diseño y construcción de cimientos. URMO, S.A. de Ediciones, Bilbao, 825 pp.
  • YEPES, V. (2014). Maquinaria para sondeos y perforaciones. Apuntes de la Universitat Politècnica de València, Ref. 209. Valencia, 89 pp.
  • YEPES, V. (2020). Procedimientos de construcción de cimentaciones y estructuras de contención. Colección Manual de Referencia, 2ª edición. Editorial Universitat Politècnica de València, 480 pp. Ref. 328. ISBN: 978-84-9048-903-1.
  • YEPES, V. (2021). Procedimientos de construcción para la compactación y mejora del terreno. Colección Manual de Referencia, 1ª edición. Editorial Universitat Politècnica de València, 426 pp. Ref. 428. ISBN: 978-84-9048-603-0.
  • YEPES, V. (2023). Maquinaria y procedimientos de construcción. Problemas resueltos. Colección Académica. Editorial Universitat Politècnica de València, 562 pp. Ref. 376. ISBN 978-84-1396-174-3

Cursos:

Curso de procedimientos de contención y control del agua subterránea en obras de Ingeniería Civil y Edificación

Licencia de Creative Commons
Esta obra está bajo una licencia de Creative Commons Reconocimiento-NoComercial-SinObraDerivada 4.0 Internacional.

Técnicas de perforación, muestreo y caracterización para la recuperación de elementos de valor desde relaves

Un depósito de relave se puede definir como un potencial yacimiento de origen minero secundario, residual, proveniente de un yacimiento geológico de minerales que han sido explotados para recuperar elementos tales como cobre, hierro, plata, oro, plomo, etc.

Os paso a continuación un manual de uso público que trata sobre las técnicas de perforación, muestreo y caracterización de estos depósitos publicado recientemente por Irene Aracena y Tania Triviño, en el contexto de Chile. Agradezco a Tania que me haya facilitado este documento para compartir con todos vosotros.

 

 

 

 

Pincha aquí para descargar

Problemas con la perforación o la hinca de pilotes ante información confusa del terreno

Reconocimiento geotécnico. https://www.arqhys.com/construccion/reconocimiento-geotecnico.html

En algunos artículos anteriores hemos descrito algunos procedimientos constructivos de los distintos tipos de pilotes. También se han comentado en artículos anteriores algunas técnicas relacionadas con los informes geotécnicos.

Podéis consultar el siguiente documento realizado por Juan Herrera y Jorge Castilla, de la UPM: “Utilización de técnicas de sondeos en estudios geotécnicos“: http://oa.upm.es/10517/1/20120316_Utilizacion-tecnicas-sondeos-geotecnicos.pdf

 

Sin embargo, aquí quiero resaltar algunos casos concretos donde los informes geotécnicos pueden confundir al constructor y llevarlo a errores durante la perforación o hinca de los pilotes (Rodríguez Ortiz, 1982):

  1. Capas delgadas de arenisca floja o vetas de arena cementadas. Las coronas de sondeo las traspasan y disgregan, confundiéndose con arenas. Las barrenas que perforan los pilotes son de diámetro mayor y no tienen potencia suficiente para romper estas capas, con lo que se hace necesario un trépano. En el caso de hinca, se suele dar rechazo al llegar a estas capas, deteniéndose la hinca, lo que supone un riesgo de punzonamiento bajo las cargas de trabajo.
  2. Las vetas carbonatadas y costras, de naturaleza evaporítica y de espesores variables, con elevadas resistencias. Los sondeos a rotación disgregan las gravas presentes, otras veces se sacan testigos rocosos que se confunden con gravas o bolos calcáreos. Son errores de apreciación que, unido a la difícil correlación entre los cortes geotécnicos, provocan que pasen desapercibidas estas vetas y causen problemas en la hinca y en la perforación.
  3. Las vetas silicatadas se confunden con los cantos de sílex. Son capas de extraordinaria dureza que hace difícil la penetración de los pilotes, incluso con espesores de pocos centímetros.
  4. Bloques erráticos u obstáculos de tamaño similar al diámetro del pilote. Pueden dificultar enormemente el hincado o la perforación.
  5. Confusión entre roca sana y alterada en el apoyo del pilote, que puede magnificar o infravalorar la capacidad portante prevista.
  6. Evaluación de la resistencia de una capa rocosa para predecir si la excavación debe realizarse con trépano, tricono o elementos de corte rotativo.
  7. La estructura del substrato rocoso debe caracterizarse geológicamente y con reconocimientos puntuales para determinar si las fracturas impiden la perforación rotativa para un determinado diámetro.
  8. Los sondeos pueden interpretar una estabilidad de las paredes diferente a la perforación del pilote, pues los diámetros son diferentes. Si el terreno lo permite, se prefieren los sondeos helicoidales, pues se aproximan mejor a las condiciones de perforación del pilote.
  9. La permeabilidad del terreno y la presencia de capas granulares abiertas pueden impedir la perforación con lodos, debiéndose recurrir a la entubación. Un sondeo convencional puede pasar por alto este aspecto, salvo que se hagan pruebas de bombeo o permeabilidad.

Referencias:

RODRÍGUEZ ORTIZ, J.M. (1982). Reconocimientos del terreno para pilotajes, en ROMANA, M. (Ed.): Apuntes sobre pilotes. Universidad Politécnica de Valencia.

YEPES, V. (2020). Procedimientos de construcción de cimentaciones y estructuras de contención. Colección Manual de Referencia, 2ª edición. Editorial Universitat Politècnica de València, 480 pp. Ref. 328. ISBN: 978-84-9048-903-1.

Licencia de Creative Commons
Esta obra está bajo una licencia de Creative Commons Reconocimiento-NoComercial-SinObraDerivada 4.0 Internacional.

Perforación rotativa por corte

Figura 1. Secuencia de corte

La perforación rotativa por corte tuvo su máximo desarrollo en la década de los 40 en las minas de carbón americanas. Hoy día su uso se limita a las rocas blandas y de pequeños diámetros, aunque en los trabajos a cielo abierto este sistema entra en competencia con el arranque directo y en los trabajos subterráneos con la perforación rotopercusiva.

Con este sistema, la fuerza de avance trata de mantener en contacto el útil de corte con la roca, de forma que el filo sea el encargado de realizar los sucesivos cortes.

El corte se realiza con bocas que presentan elementos de carburo de tungsteno u otros materiales como los diamantes sintéticos, pudiéndose distinguir varios tipos:

  • Bocas bilabiales o de tenedor, en diámetros de 36 a 50 mm
  • Bocas trialetas o multialetas, en diámetros de 50 a 115 mm
  • Bocas de labios reemplazables, con elementos escariadores y perfil de corte escalonado, en diámetros de 150 a 400 mm
Figura 2. Tipos de bocas para perforación por corte

El ángulo de ataque α del útil de corte varía entre 110º y 140º, siendo más obtuso cuanto más dura sea la roca. El ángulo del labio de corte β varía entre 75º y 80º. El ángulo de corte γ oscila entre -6º y 4º, siendo positivo en rocas blandas y negativo en las duras.

Figura 3. Ángulos característicos de un útil de corte

 

Figura 4. Trayectoria de un punto de la boca

Existe una relación empírica entre el diámetro de perforación, la velocidad de penetración y el tipo de roca:

donde

Vp = Velocidad de penetración

μ = Coeficiente de fricción de la roca

E = Empuje sobre la boca

Vr = Velocidad de rotación

re = Radio efectivo de la roca

Ev = Energía específica de la roca

Ar = Área de la sección transversal del barreno

 

Sin embargo, en la práctica existe una desviación importante de los datos, pues el coeficiente de fricción depende del empuje y la velocidad de rotación se limita por el desgaste continuo que se produce en las bocas al aumentar el número de revoluciones.

Figura 5. Relación entre el empuje y la velocidad de penetración

En la práctica, se pueden definir dos campos claros de operatividad de este sistema de perforación rotativa:

  • Aquellas rocas de resistencia a compresión menor a 80 MPa
  • Rocas con contenido en sílice menor al 8%, para evitar un desgaste excesivo

La eliminación del detrito de perforación suele realizarse con un fluido de barrido que puede ser aire, en los trabajos a cielo abierto o agua o aire húmedo en los trabajos de interior. Emplear aire con inyección de agua no sólo facilita la evacuación del detritus y favorece la velocidad de avance, sino que también refrigera las bocas de perforación y disminuye su desgaste. Además, evita el colmatado de la perforación y elimina el polvo. Se necesita aproximadamente de 1000 a 1500 l/min de aire y por cada perforadora unos 250 cm3/min de agua.

En rocas muy blandas (30 a 40 MPa) puede emplearse varillaje helicoidal, de paso mayor cuanto más grande sea la velocidad de penetración, para evacuar el residuo de la perforación.

Figura 6. Varilla helicoidal y bocas de perforación

Os dejo a continuación un vídeo donde explico, en general, la perforación rotativa de rocas. Espero que os complemente la información anterior.

Referencias:

INSTITUTO TECNOLÓGICO Y MINERO DE ESPAÑA (1994). Manual de perforación y voladura de rocas. Ed. IGME. Madrid, 500 pp.

YEPES, V. (2014). Maquinaria para sondeos y perforaciones. Apuntes de la Universitat Politècnica de València, Ref. 209.

YEPES, V. (2020). Procedimientos de construcción de cimentaciones y estructuras de contención. Colección Manual de Referencia, 2ª edición. Editorial Universitat Politècnica de València, 480 pp. Ref. 328. ISBN: 978-84-9048-903-1.

Licencia de Creative Commons
Esta obra está bajo una licencia de Creative Commons Reconocimiento-NoComercial-SinObraDerivada 4.0 Internacional.

Principios de las perforaciones a rotación

Figura 1. Principio de la perforación rotativa

En un artículo anterior explicamos los fundamentos de la perforación por extracción de material. De entre los procedimientos existentes, la perforación mecánica por rotación constituye uno de los procedimientos más habituales. Aquí vamos a explicar los principios básicos en los que se basa.

El principio utilizado por las perforadoras rotativas consiste en aplicar energía al terreno haciendo rotar un útil de corte o destroza conjuntamente con la acción de una fuerza de empuje. Este tipo de perforación se empezó a emplear en minería sobre rocas blandas; sin embargo, la rapidez de desplazamiento y montaje de estos equipos, la variedad de útiles de corte han favorecido su uso en otros campos.

El giro del útil lo realiza el motor de la perforadora en superficie, que acciona una mesa o cabeza de rotación que, a su vez, mueve el tren de varillaje y este finalmente transmite el giro al útil. Los útiles de corte que se emplean en rotación son las barrenas helicoidales, las coronas circulares y las cabezas tricono, según el tipo de terreno, del diámetro del talador y de la finalidad de la perforación (extracción de testigos o avance a destroza).

La perforación a rotación presenta características diferentes si se efectúa en roca o en suelos. En roca el avance se produce por corte y compresión: el giro se ejecuta mediante sonda o rotor y la presión por barra de carga, varillaje y empuje hidráulico. En el caso de los suelos, si estos son granulares no demasiado cohesivos, la perforación se realiza con una barrena helicoidal; en el caso de granulares muy sueltos es necesario el uso de cucharas.

En otros artículos anteriores ya hablamos de la perforación rotativa de rocas, de la perforación rotativa con triconos, de la perforación rotativa con cazo, del sondeo a rotación con barrena helicoidal, entre otros. También podéis leer algunas entradas que escribimos en su momento sobre técnicas de reconocimiento en el estudio geotécnico, la ejecución de pilotes o de procedimientos de perforación horizontal dirigida con sistemas de perforación a rotación.

Sistemas de avance

El avance de la perforación rotativa en rocas se produce por la influencia simultánea de la presión que el útil de corte ejerce sobre el terreno y el efecto producido por el giro de dicho útil sobre la roca. Estas dos acciones se pueden provocar con diversos medios y potencia según las fuentes de energía y los sistemas de empuje y rotación empleados.

Las formas de energía motriz de uso más frecuente son la térmica y la eléctrica. La primera se suele utilizar en perforadoras pequeñas y medianas, generalmente montadas sobre camión en equipos accionados por el propio motor del camión o más frecuentemente por dos motores, el del camión más otro independiente. Para perforadoras montadas en equipos de mayor tamaño (diámetros de perforación superior a 250 mm, lo más normal es usar energía eléctrica a media tensión, alimentando la perforadora con corriente alterna. En algunas instalaciones mineras también se emplean equipos diésel-eléctricos cuyo coste de mantenimiento es aproximadamente un 15 % inferior al de los equipos diésel.

La aplicación de la potencia se realiza mediante mecanismos de transmisión mecánicos e hidráulicos. La energía se transmite a través de las barras de perforación, que giran al mismo tiempo que penetra la boca, debido a la intensidad de la fuerza de avance. Prácticamente, casi sin excepciones, esta fuerza de empuje se obtiene a partir de un motor hidráulico. En este tipo de perforación, las pérdidas de energía en las barras y la boca son despreciables, por este motivo, la velocidad de penetración no varía apenas con la longitud del barreno. Para girar las barras y conseguir el par necesario, estas máquinas tienen un sistema de rotación montado habitualmente sobre un bastidor que se desliza a lo largo del mástil de la perforadora. El barrido del detritus de la perforación se efectúa con aire comprimido, para lo cual el equipo está dotado de uno o dos compresores ubicados en la sala de máquinas.

Figura 2. Perforación a rotación para estudios de terrenos

Empuje y elevación

El empuje a aplicar dependerá de la resistencia del terreno y del diámetro de la perforación (Figura 3). El mecanismo de empuje está diseñado para aplicar una fuerza del orden del 50% del peso de la máquina, alcanzando los equipos de mayor tamaño un peso de unas 120 t. Los sistemas de empuje, además de proporcionar la presión suficiente sobre el fondo de la perforación, sirven para elevar y manipular el conjunto de varillas o barras que hay que añadir o quitar durante la ejecución de la perforación. Se pueden emplear sistemas mecánicos (por cadena o cremallera) o hidráulicos. Los sistemas hidráulicos están formados por dos cilindros combinados, son más potentes y fácilmente controlables.

Figura 3. Mecanismos de empuje y elevación

El empuje transmitido al fondo del taladro debe ser suficiente para que el efecto conjunto sobre la roca genere una tensión superior a su resistencia a compresión. Pero tampoco conviene un empuje excesivo que aumente el desgaste del equipo. La velocidad de penetración aumenta proporcionalmente al empuje hasta un límite a partir del cual el útil se agarrota y los insertos se incrustan en la roca. En estas condiciones, el desgaste aumenta considerablemente junto con un mayor consumo de energía y, si la roca es dura, puede producirse la rotura de los dientes del útil (Figura 4).

Figura 4. Relación velocidad de avance-empuje

Como suele ser habitual, os dejo unos vídeos al respecto.

Referencias:

  • DIRECCIÓN GENERAL DE CARRETERAS (1998). Manual para el control y diseño de voladuras en obras de carreteras. Ministerio de Fomento, Madrid, 390 pp.
  • INSTITUTO TECNOLÓGICO GEOMINERO DE ESPAÑA (1994). Manual de perforación y voladura de rocas. Serie Tecnológica y Seguridad Minera, 2ª Edición, Madrid, 541 pp.
  • MARTÍ, J.V.; YEPES, V.; GONZÁLEZ, F.; ALCALÁ, J. (2012). Técnicas de voladuras y excavación en túneles. Editorial de la Universitat Politècnica de València. Ref. 530, 165 pp.
  • UNIÓN ESPAÑOLA DE EXPLOSIVOS (1990). Manual de perforación. Rio Blast, S.A., Madrid, 206 pp.

Licencia de Creative Commons
Esta obra está bajo una licencia de Creative Commons Reconocimiento-NoComercial-SinObraDerivada 4.0 Internacional.

Perforación rotativa con cazo

Figura 1. Cazo rotativo abierto

Cuando se utilizan lodos tixotrópicos para el sostenimiento de la perforación, o estamos ante la presencia de agua, la barrena helicoidal no puede retirar el material, pues éste se escurre entre los pasos de ésta. En estos casos se emplea la perforación rotativa con cazo (bucket auger boring).

La perforadora con cazo rotativo utiliza un accionamiento mecánico o hidráulico que hace girar una Kelly que se fija a la cuchara. Para perforar, la cuchara gira para permitir que la parte inferior de los dientes de corte llene la cuchara. Las aletas en el fondo de la cuchara se cierran para mantener los detritus en su interior. El fondo de la cuchara es abatible (Figura 1) para permitir el vertido de la excavación.

La perforación con cazo es más lenta, con rendimientos previstos pueden ser la mitad (40-50 m/turno) de los conseguidos con hélices. Si bien es cierto que pueden triplicar los alcanzados con cuchara de valvas. Existen variantes de cazo con dientes de tierra, con dientes de widia, de fondo plano, se entrada simple, doble, etc.

Este sistema presenta algunos inconvenientes, además de los asociados a la perforación con lodos. Cuando se extrae el cazo se ejerce cierta succión que puede inestabilizar las paredes. Este efecto es particularmente sensible con diámetros de 500 mm o menos, por lo que lo habitual es perforar con cazo por encima de los 600 mm de diámetro.

Figura 2. Cazo rotativo

 

Os dejo algunos vídeos que ilustran la forma de trabajar con este tipo de perforación rotativa.

En el siguiente vídeo de Keller se muestra la perforación de un pozo de gran diámetro mediante cazos de diámetros sucesivamente mayores. Previamente se ha realizado una pantalla de pilotes secantes.

Referencias:

INSTITUTO TECNOLÓGICO Y MINERO DE ESPAÑA (1994). Manual de perforación y voladura de rocas. Ed. IGME. Madrid, 500 pp.

YEPES, V. (2014). Maquinaria para sondeos y perforaciones. Apuntes de la Universitat Politècnica de València, Ref. 209. Valencia.

YEPES, V. (2020). Procedimientos de construcción de cimentaciones y estructuras de contención. Colección Manual de Referencia, 2ª edición. Editorial Universitat Politècnica de València, 480 pp. Ref. 328. ISBN: 978-84-9048-903-1.

Licencia de Creative Commons
Esta obra está bajo una licencia de Creative Commons Reconocimiento-NoComercial-SinObraDerivada 4.0 Internacional.

Potencia de un martillo a rotopercusión

Figura 1. Martillo en cabeza. http://osebe.es/perforaciones-con-martillo/

En una entrada anterior ya se comentaron los fundamentos básicos de la perforación a rotopercusión. El principio de perforación de estos equipos se basa en el impacto de una pieza de acero llamada pistón, sobre un útil, que a su vez transmite la energía al fondo del barreno, por medio de un elemento final denominado boca o bit. Este sistema de perforación suele usarse en terrenos muy duros y semiduros. Estas perforadoras, tal y como se comentó anteriormente, pueden tener el martillo en cabeza o en fondo.

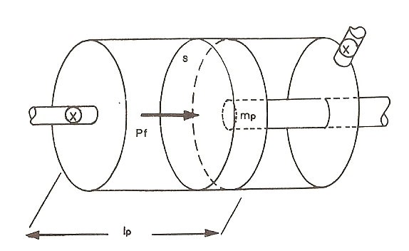
La potencia necesaria de un martillo se puede estimar mediante la siguiente expresión:

donde,

P = potencia del martillo

pf = presión del fluido (aire o aceite) en el interior del cilindro

s = superficie de trabajo del pistón

Ip = carrera del pistón

mp = masa del pistón

Figura 2.- Elementos para el cálculo de la potencia del martillo

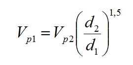
Es posible estimar la velocidad de penetración Vp1 para un diámetro dado d1, cuando, utilizando el mismo equipo en similares condiciones, se conoce la velocidad Vp2 que se alcanza para otro diámetro d2.

Referencias:

INSTITUTO TECNOLÓGICO Y MINERO DE ESPAÑA (1994). Manual de perforación y voladura de rocas. Ed. IGME. Madrid, 500 pp.

YEPES, V. (2014). Maquinaria para sondeos y perforaciones. Apuntes de la Universitat Politècnica de València, Ref. 209. Valencia.

 

Licencia de Creative Commons
Esta obra está bajo una licencia de Creative Commons Reconocimiento-NoComercial-SinObraDerivada 4.0 Internacional.

Perforación por extracción de material

Figura 1.- Perforación mecánica (Ingeopress)

Las operaciones necesarias para la ejecución con éxito de perforación con extracción de material son el troceo, la extracción del material propiamente dicha y la contención de las paredes. Estas operaciones se realizan en ocasiones de forma simultánea a la ejecución de la perforación.

 

La rotura o corte del terreno puede realizarse mediante varios procedimientos diferentes. Entre otros, destacan los siguientes:

 

  • Perforación mecánica: se deben aplicar tensiones sobre el material que superen su resistencia de corte. Este efecto puede realizarse por impacto (percusión), presión (empuje), fricción (rotación) o desgaste (barrido), o por efectos combinados de ellos.
  • Perforación térmica: realizada mediante soplete o lanza térmica, plasma, fluido caliente o congelación.
  • Perforación química: realizada mediante microvoladura o por disolución.
  • Perforación hidráulica: provocada por efecto de un chorro de agua a alta presión, por erosión o cavitación.
  • Otros tipos de perforación: eléctrica, sónica, nuclear, etc.

 

La eliminación del detritus puede ser discontinua, en el caso de interrupción de la perforación y la eliminación mecánica del detritus, o continua, empleando un fluido en circulación (aire, agua o lodos) que, a su vez, refrigera el útil de perforación y sostiene las paredes de la perforación. La extracción hidráulica presenta dos variantes, la circulación directa y la circulación inversa.

Cuando se utiliza un fluido para extraer el detritus, la circulación directa se refiere a que el fluido de perforación y el detritus se elevan hacia la superficie entre las paredes del sondeo y el varillaje. La circulación directa es el sistema más empleado en perforaciones relativamente cortas (menos de 50 m) y hasta ahora ha sido universal en los martillos neumáticos.

Figura 2.- Extracción del material en una perforación

En cambio, con la circulación inversa, el fluido y el material se eleva por el interior del varillaje. En este caso se mantiene inundada la perforación, siendo el ascenso del material por depresión o por inyección forzada. Se emplea también con martillos en fondo. Este método tiene interés en formaciones relativamente blandas poco permeables, con fisuración débil, poco abrasivas y de paredes estables (arcillas, algunas formaciones yesíferas y sales potásicas, por ejemplo). Es un método seguro, pero más caro, aunque mejora la limpieza del sondeo, recupera detritus de mayor tamaño y aumenta la velocidad de perforación. Normalmente se emplea un sistema de doble pared, es decir, dos tubos concéntricos: por la cámara exterior se inyecta el fluido y por la interior asciende.

Figura 3.- Esquema de instalación en circulación inversa

La perforación en suelos es más sencilla que en roca, pero en numerosas ocasiones se necesita un sostenimiento de las paredes del sondeo para evitar su derrumbe. El sostenimiento se puede realizar mediante fluidos como el agua (equilibrio hidrostático) o lodos (películas tixotrópicas) que sirven, además, para la eliminación del detritus; o bien mediante entubaciones, que pueden ser provisionales o definitivas.

El lodo es una mezcla de agua y bentonita sódica (a veces, sepiolita) tratada, a la que en ocasiones se añade arcilla y algún aditivo. Esta mezcla forma una lámina o “cake” que impermeabiliza el sondeo, de forma que si se mantiene llena de lodo la perforación, la presión en la cara interna de la pared supera a la existente en el exterior, lo que permite la estabilidad de la pared.

En sondeos y perforaciones helicoidales, el residuo de la perforación se extrae con la propia hélice.

Según la resistencia a compresión de las rocas y el diámetro de perforación, se pueden delimitar distintos métodos de perforación, según se refleja en la Figura 4. Sin embargo, en obras de construcción, lo habitual son los métodos rotopercutivos en la perforación de rocas, mientras que en minería a cielo abierto, también se utiliza la perforación rotativa.

Figura 4.- Campos de aplicación de los métodos de perforación en función de la resistencia de las rocas y diámetros de los barrenos (ITGE, 1994)

Referencias:

INSTITUTO TECNOLÓGICO Y MINERO DE ESPAÑA (1994). Manual de perforación y voladura de rocas. Ed. IGME. Madrid, 500 pp.

YEPES, V. (2014). Maquinaria para sondeos y perforaciones. Apuntes de la Universitat Politècnica de València, Ref. 209. Valencia.

Licencia de Creative Commons
Esta obra está bajo una licencia de Creative Commons Reconocimiento-NoComercial-SinObraDerivada 4.0 Internacional.