
Seguimos con esta entrada viendo ejemplos de Laboratorios Virtuales de la Universitat Politècnica de València como herramienta innovadora para la docencia universitaria. Se trata de un laboratorio desarrollado por los profesores de la Unidad Docente de Caminos y Aeropuertos de la Universitat Politècnica de València, los profesores Francisco Javier Camacho Torregrosa, Ana María Pérez Zuriaga y Alfredo García García, donde se visualizan las propiedades de las clotoides.
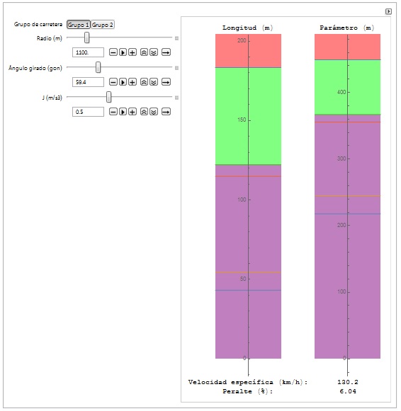
Este objeto muestra al usuario el rango de parámetros y longitudes válidos para el diseño de curvas de transición, de acuerdo con la Instrucción de Trazado 3.1 IC. El laboratorio mostrará la longitud mínima obligatoria del diseño, así como el resto de criterios. En verde se mostrará el rango válido, mientras que en naranja (en su caso) se podrán ver los parámetros y longitudes que cumplen los criterios obligatorios, pero no los recomendables.
Instrucciones
El usuario deberá introducir parámetros básicos del diseño, tales como el tipo de carretera, radio y el ángulo de giro de la curva, así como la variación de la aceleración centrífuga (J). El valor de este último parámetro debe ser siempre el mínimo, salvo casos justificados.
El enlace al laboratorio virtual es el siguiente: http://labmathematica.upvnet.upv.es/eslabon/Ejercicio.asp?do=LongitudClotoid
NOTA: Para poder ver los laboratorios necesita el plugin del Wolfram CDF Player. Si no lo tiene instalado en su equipo, puede descargarlo en la página web de Wolfram. Si utiliza un equipo público o no dispone de privilegios para instalar software, puede visualizar el laboratorio desde un servidor remoto. Tan sólo necesitará que su navegador incluya soporte para aplicaciones Java. Pulse aquí para visualizar el laboratorio sin instalar el plugin de Mathematica CDF Player

Este obra está bajo una licencia de Creative Commons Reconocimiento-NoComercial-SinObraDerivada 4.0 Internacional.










