
Para la máxima duración de un cable, interesa que las solicitaciones se aproximen al límite de fatiga, pero se alejen del límite elástico, evidentemente, para lograr una mayor seguridad. Que se cumplan ambos requisitos a veces resulta complicado.
Por eso, para estimar la vida útil de un cable, Gustav Niemann proporciona la siguiente expresión (Larrodé y Miravete, 1996) que intenta aunar estos dos criterios:
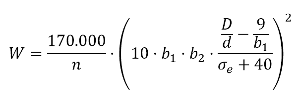
Donde W es el número de flexiones sufridas por el cable hasta su rotura (plegado sobre la polea y desplegado); D es el diámetro de la polea (m); d es el diámetro del cable (m); σe es el esfuerzo de extensión (MPa). Este valor suele variar entre 30.000 flexiones en el caso de polipastos y 150.000 en el de grandes grúas.
El coeficiente n presenta los siguientes valores:
1 flexión en el mismo sentido
1,5 flexión en sentido contrario, cable cruzado
2 flexión en sentido contrario, cable Lang
El coeficiente b1 depende de la forma de la garganta
para radio de garganta, r = 0,54 d
b1 = 1 cable cruzado y Lang
para radio de garganta, r = ∞
b1 = 0,72 cable cruzado
b1 = 0,65 cable Lang
para garganta en V a 45º
b1 = 0,72 cable cruzado
b1 = 0,60 cable Lang
El coeficiente b2 depende de la forma del cable
b2 = 1,04 cable cruzado 6 x 37, 1600 MPa
b2 = 1,11 cable Lang 6 x 37, 1600 MPa
Os dejo un problema resuelto por si os resulta de interés.
PROBLEMA. Se quiere estimar la vida útil de un cable de un puente grúa que debe elevar una carga total de 120 kN. El diámetro de las poleas es de 1200 mm; el cable es cruzado; su resistencia es de 1770 N/mm² y su diámetro es de 30 mm. Se supone que la flexión siempre se realiza en el mismo sentido.
Solución:
Utilizamos la fórmula de Niemann,
donde D = 1200 mm; d = 30 mm, h1 = 1 (para un radio de garganta r = 0,54d), b2 = 1,04.
Por otra parte, el esfuerzo de extensión σe (MPa) se calcula de la siguiente forma (son dos ramales):
Por tanto,
Este valor es muy superior al límite inferior de 150.000 flexiones requerido para las grandes grúas.
Referencias:
LARRODÉ, E.; MIRAVETE, A. (1996). Grúas. Servicio de Publicaciones, Centro Politécnico Superior, Universidad de Zaragoza, 554 pp.
YEPES, V.; MARTÍ, J.V. (2017). Máquinas, cables y grúas empleados en la construcción. Editorial de la Universitat Politècnica de València. Ref. 814. Valencia, 210 pp.
YEPES, V. (2023). Maquinaria y procedimientos de construcción. Problemas resueltos. Colección Académica. Editorial Universitat Politècnica de València, 562 pp. Ref. 376. ISBN 978-84-1396-174-3

Esta obra está bajo una licencia de Creative Commons Reconocimiento-NoComercial-SinObraDerivada 4.0 Internacional.




