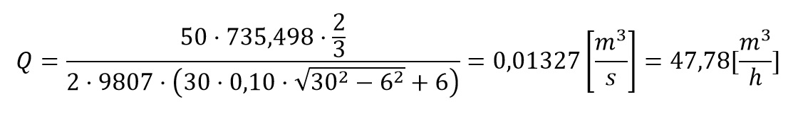
PROBLEMA. Calcula el máximo caudal de hormigón fresco que suministrará una cinta transportadora que tiene 30 m de longitud y tiene que salvar una cota de 6 m. Otros datos:
– El coeficiente de fricción entre cinta y rodillos es µ=0,10
– La densidad del hormigón fresco durante su transporte es de 2,0 t/m3
– El coeficiente de transmisión del motor es η=2/3
– La potencia del motor es de 50 C.V.
Respuesta:
El motor de la cinta transportadora debe de disponer de potencia suficiente para desplazar el hormigón fresco sobre la cinta, superando sus rozamientos y, además, para elevar el hormigón a la cota prevista.
La potencia mecánica se define como la rapidez con que se realiza un trabajo, o lo que es lo mismo, el producto de la fuerza resultante aplicada por la velocidad. La potencia necesaria para vencer el rozamiento de la cinta y rodillos µ, es el producto de la fuerza normal sobre la cinta por el coeficiente de rozamiento. Dicha fuerza se desplaza a la velocidad de la cinta.
Siendo p el peso del hormigón fresco por metro lineal de cinta, la potencia P1 necesaria para desplazar a una velocidad v el peso, teniendo en cuenta el rendimiento del motor η, sería la siguiente:
En la expresión anterior, el producto de la velocidad v por el peso por metro lineal p, se sustituye por el producto del peso específico γ del hormigón fresco por el caudal Q transportado por la cinta.
Por otra parte, la potencia necesaria para vencer el desnivel es el producto del peso del material por la velocidad de ascensión, que es v·senα, quedando la siguiente expresión:
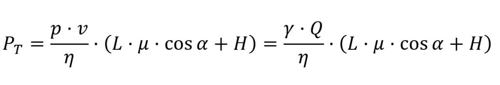
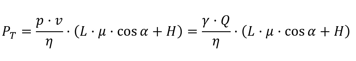
Por tanto, la potencia necesaria total será la suma de P1 y P2. Se puede calcular mediante la siguiente expresión:
De esta expresión se puede despejar el caudal Q:
Expresando todas las unidades en el Sistema Internacional (1 C.V. = 735,498 W; 1 t = 9807 N), la expresión queda como sigue:
El motor de la cinta transportadora debe de disponer de potencia suficiente para desplazar el hormigón fresco sobre la cinta, superando sus rozamientos y, además, para elevar el hormigón a la cota prevista.
Os dejo también un nomograma que permite resolver este mismo problema. Lo he desarrollado junto con el profesor Pedro Martínez Pagán, de la Universidad Politécnica de Cartagena. En este caso, se ha resuelto el ejercicio con otros datos de partida. Espero que os sea útil.
A continuación os dejo un vídeo donde se explica el transporte del hormigón fresco mediante cinta transportadora. Espero que os sea de interés.
Referencias:
MARTÍ, J.V.; YEPES, V.; GONZÁLEZ, F. (2014). Fabricación, transporte y colocación del hormigón. Apuntes de la Universitat Politècnica de València.
YEPES, V. (2023). Maquinaria y procedimientos de construcción. Problemas resueltos. Colección Académica. Editorial Universitat Politècnica de València, 562 pp. Ref. 376. ISBN 978-84-1396-174-3

Esta obra está bajo una licencia de Creative Commons Reconocimiento-NoComercial-SinObraDerivada 4.0 Internacional.







